Journal of Southern Medical University ›› 2025, Vol. 45 ›› Issue (12): 2756-2766.doi: 10.12122/j.issn.1673-4254.2025.12.23
Zhenni YU1(
), Jingzhe GAO1, Hui SUN1, Qin Feng2, Xiaoqi NA1, Ning ZHANG1(
), Kungshuang SHEN1, Yuanyuan WANG1, Xijun WANG1(
)
Received:2025-04-14
Online:2025-12-20
Published:2025-12-22
Contact:
Ning ZHANG, Xijun WANG
E-mail:yzhennni@163.com;zhangning0454@163.com;xijunw@sina.com
Zhenni YU, Jingzhe GAO, Hui SUN, Qin Feng, Xiaoqi NA, Ning ZHANG, Kungshuang SHEN, Yuanyuan WANG, Xijun WANG. Causal relationship between gut microbiota and T cell subsets in the development of colorectal cancer: a Mendelian randomization analysis[J]. Journal of Southern Medical University, 2025, 45(12): 2756-2766.
Add to citation manager EndNote|Ris|BibTeX
URL: https://www.j-smu.com/EN/10.12122/j.issn.1673-4254.2025.12.23
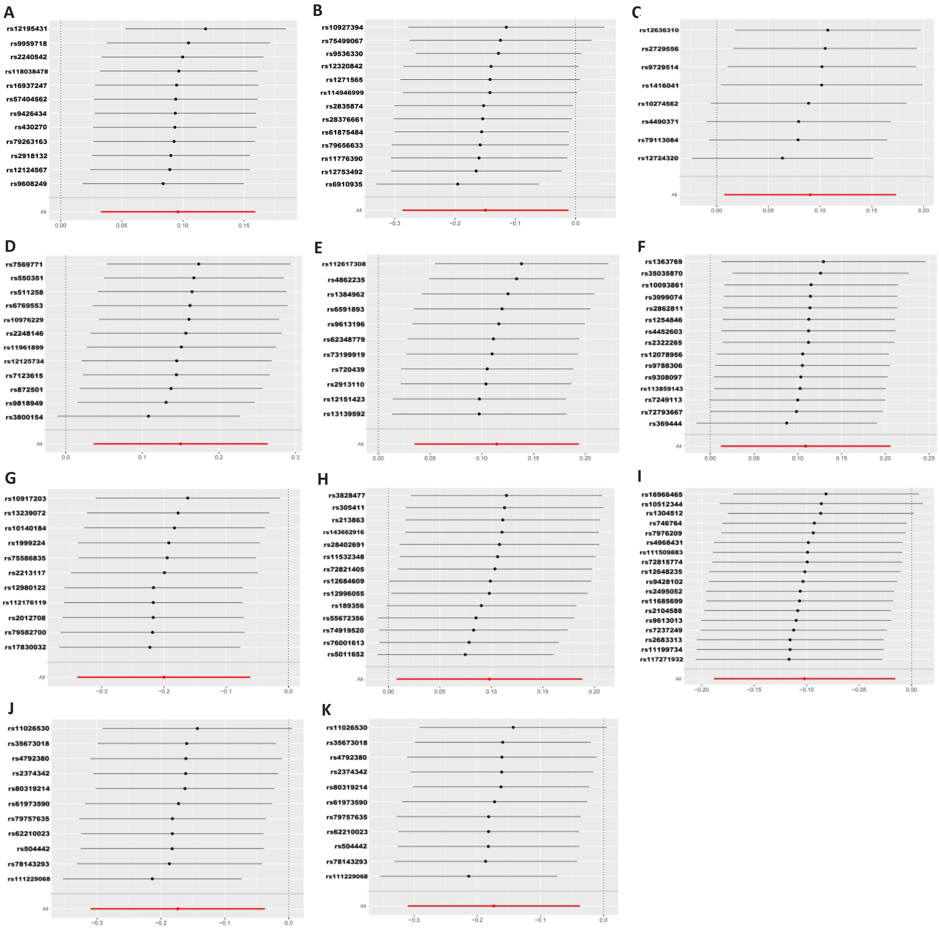
Fig.2 Leave-one-out plot of the association between gut microbiota and colorectal cancer under Mendelian randomization analysis. A: Prevotella7. B: Faecalibacterium. C: Ruminococcaceae UCG011. D: Ruminococcaceae UCG004. E: Eubacterium brachy group. F: Lachnospiraceae FCS020 group. G: Eubacterium xylanophilum group. H: Coprobacter. I: Prevotella9. J: Enterobacteriaceae. K: Enterobacteriales.
| Outcome | nSNP | SE | P | OR | 95% CI |
|---|---|---|---|---|---|
| genus.Prevotella7 | 22 | 0.076 | 0.944 | 1.005 | 0.866-1.1167 |
| genus.Faecalibacterium | 23 | 0.040 | 0.216 | 1.051 | 0.972-1.136 |
| genus.Ruminococcaceae UCG011 | 22 | 0.057 | 0.347 | 0.948 | 0.848-1.06 |
| genus.Ruminococcaceae UCG004 | 23 | 0.036 | 0.406 | 0.970 | 0.904-1.042 |
| genus.Eubacterium brachy group | 22 | 0.054 | 0.734 | 1.019 | 0.916-1.132 |
| genus.Lachnospiraceae FCS020 group | 23 | 0.033 | 0.427 | 0.974 | 0.913-1.039 |
| genus.Eubacterium xylanophilum group | 23 | 0.035 | 0.774 | 0.990 | 0.924-1.061 |
| genus.Coprobacter | 23 | 0.052 | 0.468 | 1.038 | 0.938-1.149 |
| genus.Prevotella9 | 23 | 0.039 | 0.835 | 1.008 | 0.934-1.088 |
| family.Enterobacteriaceae | 23 | 0.032 | 0.987 | 1.001 | 0.940-1.065 |
| order.Enterobacteriales | 23 | 0.032 | 0.987 | 1.001 | 0.940-1.065 |
Tab.1 Results of inverse variance weighted method analysis in Mendelian randomization study on gut microbiota and colorectal cancer
| Outcome | nSNP | SE | P | OR | 95% CI |
|---|---|---|---|---|---|
| genus.Prevotella7 | 22 | 0.076 | 0.944 | 1.005 | 0.866-1.1167 |
| genus.Faecalibacterium | 23 | 0.040 | 0.216 | 1.051 | 0.972-1.136 |
| genus.Ruminococcaceae UCG011 | 22 | 0.057 | 0.347 | 0.948 | 0.848-1.06 |
| genus.Ruminococcaceae UCG004 | 23 | 0.036 | 0.406 | 0.970 | 0.904-1.042 |
| genus.Eubacterium brachy group | 22 | 0.054 | 0.734 | 1.019 | 0.916-1.132 |
| genus.Lachnospiraceae FCS020 group | 23 | 0.033 | 0.427 | 0.974 | 0.913-1.039 |
| genus.Eubacterium xylanophilum group | 23 | 0.035 | 0.774 | 0.990 | 0.924-1.061 |
| genus.Coprobacter | 23 | 0.052 | 0.468 | 1.038 | 0.938-1.149 |
| genus.Prevotella9 | 23 | 0.039 | 0.835 | 1.008 | 0.934-1.088 |
| family.Enterobacteriaceae | 23 | 0.032 | 0.987 | 1.001 | 0.940-1.065 |
| order.Enterobacteriales | 23 | 0.032 | 0.987 | 1.001 | 0.940-1.065 |
| MR method | nSNP | SE | P | OR | 95% CI |
|---|---|---|---|---|---|
| IVW | 3 | 0.032 | 0.035 | 0.935 | 0.878-0.995 |
| Weighted median | 3 | 0.031 | 0.006 | 0.919 | 0.866-0.976 |
| MR-Egger | 3 | 0.107 | 0.566 | 0.917 | 0.743-1.131 |
| Simple mode | 3 | 0.044 | 0.176 | 0.913 | 0.837-0.996 |
| Weighted mode | 3 | 0.041 | 0.144 | 0.909 | 0.839-0.985 |
Tab.2 Results of Mendelian randomization analysis for T Cells and colorectal cancer
| MR method | nSNP | SE | P | OR | 95% CI |
|---|---|---|---|---|---|
| IVW | 3 | 0.032 | 0.035 | 0.935 | 0.878-0.995 |
| Weighted median | 3 | 0.031 | 0.006 | 0.919 | 0.866-0.976 |
| MR-Egger | 3 | 0.107 | 0.566 | 0.917 | 0.743-1.131 |
| Simple mode | 3 | 0.044 | 0.176 | 0.913 | 0.837-0.996 |
| Weighted mode | 3 | 0.041 | 0.144 | 0.909 | 0.839-0.985 |
| MR method | nSNP | SE | P | OR | 95% CI |
|---|---|---|---|---|---|
| IVW | 25 | 0.056 | 0.195 | 1.076 | 0.963-1.201 |
| Weighted median | 25 | 0.079 | 0.142 | 1.123 | 0.962-1.312 |
| MR-Egger | 25 | 0.231 | 0.838 | 0.953 | 0.607-1.499 |
| Simple mode | 25 | 0.140 | 0.277 | 1.168 | 0.888-1.536 |
| Weighted mode | 25 | 0.124 | 0.222 | 1.168 | 0.916-1.489 |
Tab.3 Results of Mendelian randomization analysis for colorectal cancer and T cells
| MR method | nSNP | SE | P | OR | 95% CI |
|---|---|---|---|---|---|
| IVW | 25 | 0.056 | 0.195 | 1.076 | 0.963-1.201 |
| Weighted median | 25 | 0.079 | 0.142 | 1.123 | 0.962-1.312 |
| MR-Egger | 25 | 0.231 | 0.838 | 0.953 | 0.607-1.499 |
| Simple mode | 25 | 0.140 | 0.277 | 1.168 | 0.888-1.536 |
| Weighted mode | 25 | 0.124 | 0.222 | 1.168 | 0.916-1.489 |
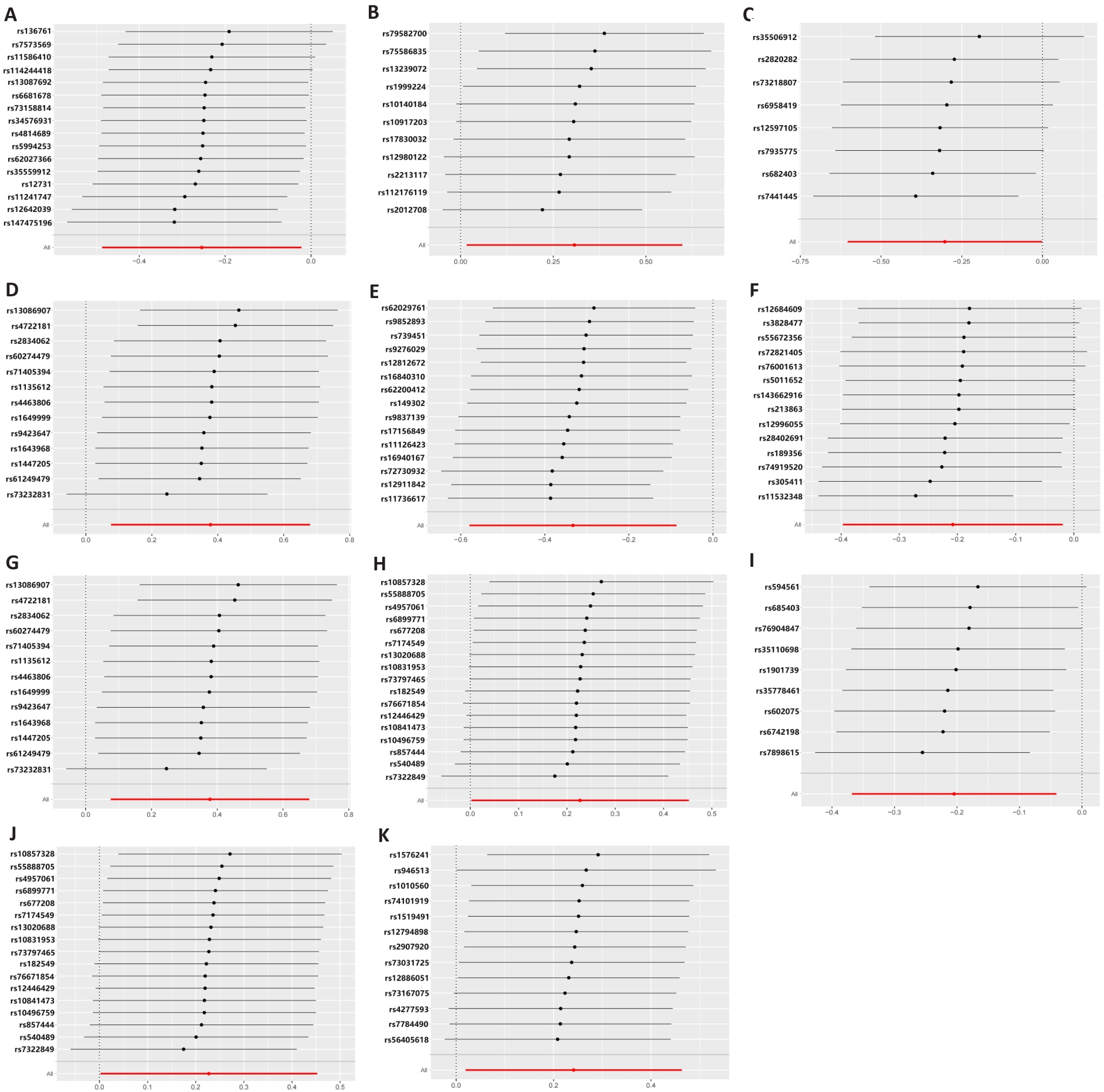
Fig.5 Leave-one-out plot of the association between gut microbiota and T cells under Mendelian randomization analysis.A: Ruminococcaceae NK4A214 group. B: Eubacterium xylanophilum group. C: Ruminococcaceae UCG010. D: Selenomonadales. E: XIII AD3011 group. F: Coprobacter. G: Negativicutes. H: Bifidobacteriaceae. I: Allisonella. J: Bifidobacteriales. K: Coprococcus1.
| Outcome | nSNP | SE | P | OR | 95% CI |
|---|---|---|---|---|---|
| genus.Ruminococcaceae NK4A214 group | 5 | 0.028 | 0.947 | 0.998 | 0.945-1.054 |
| genus.Eubacterium xylanophilum group | 5 | 0.030 | 0.321 | 0.971 | 0.916-1.029 |
| genus.Ruminococcaceae UCG010 | 5 | 0.037 | 0.527 | 0.977 | 0.909-1.050 |
| order.Selenomonadales | 5 | 0.037 | 0.483 | 0.974 | 0.906-1.048 |
| genus.Family XIII AD3011 group | 5 | 0.029 | 0.762 | 1.009 | 0.953-1.067 |
| genus.Coprobacter | 5 | 0.069 | 0.843 | 1.014 | 0.885-1.162 |
| Class.Negativicutes | 5 | 0.037 | 0.483 | 0.974 | 0.906-1.048 |
| family.Bifidobacteriaceae | 5 | 0.029 | 0.675 | 0.988 | 0.934-1.045 |
| genus.Allisonella | 3 | 0.122 | 0.028 | 0.765 | 0.603-0.971 |
| order.Bifidobacteriales | 5 | 0.029 | 0.675 | 0.988 | 0.934-1.045 |
| genus.Coprococcus1 | 5 | 0.029 | 0.892 | 0.996 | 0.942-1.054 |
Tab.4 Results of inverse variance weighted method analysis in Mendelian randomization study on colorectal cancer and T cells
| Outcome | nSNP | SE | P | OR | 95% CI |
|---|---|---|---|---|---|
| genus.Ruminococcaceae NK4A214 group | 5 | 0.028 | 0.947 | 0.998 | 0.945-1.054 |
| genus.Eubacterium xylanophilum group | 5 | 0.030 | 0.321 | 0.971 | 0.916-1.029 |
| genus.Ruminococcaceae UCG010 | 5 | 0.037 | 0.527 | 0.977 | 0.909-1.050 |
| order.Selenomonadales | 5 | 0.037 | 0.483 | 0.974 | 0.906-1.048 |
| genus.Family XIII AD3011 group | 5 | 0.029 | 0.762 | 1.009 | 0.953-1.067 |
| genus.Coprobacter | 5 | 0.069 | 0.843 | 1.014 | 0.885-1.162 |
| Class.Negativicutes | 5 | 0.037 | 0.483 | 0.974 | 0.906-1.048 |
| family.Bifidobacteriaceae | 5 | 0.029 | 0.675 | 0.988 | 0.934-1.045 |
| genus.Allisonella | 3 | 0.122 | 0.028 | 0.765 | 0.603-0.971 |
| order.Bifidobacteriales | 5 | 0.029 | 0.675 | 0.988 | 0.934-1.045 |
| genus.Coprococcus1 | 5 | 0.029 | 0.892 | 0.996 | 0.942-1.054 |
| Exposure | Outcome | MR method | Q | Q_df | Q_pval |
|---|---|---|---|---|---|
| genus.Prevotella7 | CRC | MR-Rgger | 7.239 | 10 | 0.703 |
| genus.Prevotella7 | CRC | IVW | 9.043 | 11 | 0.618 |
| genus.Faecalibacterium | CRC | MR-Rgger | 13.261 | 11 | 0.277 |
| genus.Faecalibacterium | CRC | IVW | 13.262 | 12 | 0.350 |
| genus.Ruminococcaceae UCG011 | CRC | MR-Rgger | 6.409 | 6 | 0.379 |
| genus.Ruminococcaceae UCG011 | CRC | IVW | 6.820 | 7 | 0.448 |
| genus.Ruminococcaceae UCG004 | CRC | MR-Rgger | 10.434 | 10 | 0.403 |
| genus.Ruminococcaceae UCG004 | CRC | IVW | 11.115 | 11 | 0.434 |
| genus.Eubacterium brachy group | CRC | MR-Rgger | 9.150 | 9 | 0.424 |
| genus.Eubacterium brachy group | CRC | IVW | 9.264 | 10 | 0.507 |
| genus.Lachnospiraceae FCS020 group | CRC | MR-Rgger | 6.834 | 13 | 0.910 |
| genus.Lachnospiraceae FCS020 group | CRC | IVW | 6.848 | 14 | 0.940 |
| genus.Eubacterium xylanophilum group | CRC | MR-Rgger | 4.699 | 9 | 0.860 |
| genus.Eubacterium xylanophilum group | CRC | IVW | 7.284 | 10 | 0.698 |
| genus.Coprobacter | CRC | MR-Rgger | 15.480 | 12 | 0.216 |
| genus.Coprobacter | CRC | IVW | 15.643 | 13 | 0.269 |
| genus.Prevotella9 | CRC | MR-Rgger | 16.705 | 16 | 0.405 |
| genus.Prevotella9 | CRC | IVW | 16.715 | 17 | 0.474 |
| family.Enterobacteriaceae | CRC | MR-Rgger | 9.278 | 9 | 0.412 |
| family.Enterobacteriaceae | CRC | IVW | 9.399 | 10 | 0.495 |
| order.Enterobacteriales | CRC | MR-Rgger | 9.278 | 9 | 0.412 |
| order.Enterobacteriales | CRC | IVW | 9.399 | 10 | 0.495 |
| T Cells | CRC | MR-Rgger | 3.227 | 1 | 0.072 |
| T Cells | CRC | IVW | 3.356 | 2 | 0.187 |
| genus.Ruminococcaceae NK4A214 group | T Cells | MR-Rgger | 13.403 | 14 | 0.495 |
| genus.Ruminococcaceae NK4A214 group | T Cells | IVW | 14.064 | 15 | 0.521 |
| genus.Eubacterium xylanophilum group | T Cells | MR-Rgger | 12.167 | 9 | 0.204 |
| genus.Eubacterium xylanophilum group | T Cells | IVW | 12.770 | 10 | 0.237 |
| genus.Ruminococcaceae UCG010 | T Cells | MR-Rgger | 5.807 | 6 | 0.445 |
| genus.Ruminococcaceae UCG010 | T Cells | IVW | 6.325 | 7 | 0.502 |
| order.Selenomonadales | T Cells | MR-Rgger | 9.926 | 11 | 0.537 |
| order.Selenomonadales | T Cells | IVW | 13.547 | 12 | 0.331 |
| genus.Family XIII AD3011 group | T Cells | MR-Rgger | 16.241 | 13 | 0.236 |
| genus.Family XIII AD3011 group | T Cells | IVW | 16.387 | 14 | 0.290 |
| genus.Coprobacter | T Cells | MR-Rgger | 17.482 | 12 | 0.132 |
| genus.Coprobacter | T Cells | IVW | 17.762 | 13 | 0.167 |
| Class.Negativicutes | T Cells | MR-Rgger | 9.926 | 11 | 0.537 |
| Class.Negativicutes | T Cells | IVW | 13.547 | 12 | 0.331 |
| family.Bifidobacteriaceae | T Cells | MR-Rgger | 5.992 | 15 | 0.980 |
| family.Bifidobacteriaceae | T Cells | IVW | 7.605 | 16 | 0.960 |
| genus.Allisonella | T Cells | MR-Rgger | 5.460 | 7 | 0.604 |
| genus.Allisonella | T Cells | IVW | 6.660 | 8 | 0.574 |
| order.Bifidobacteriales | T Cells | MR-Rgger | 5.992 | 15 | 0.980 |
| order.Bifidobacteriales | T Cells | IVW | 7.605 | 16 | 0.960 |
Tab.5 Heterogeneity test for gut microbiota, T cells, and colorectal cancer
| Exposure | Outcome | MR method | Q | Q_df | Q_pval |
|---|---|---|---|---|---|
| genus.Prevotella7 | CRC | MR-Rgger | 7.239 | 10 | 0.703 |
| genus.Prevotella7 | CRC | IVW | 9.043 | 11 | 0.618 |
| genus.Faecalibacterium | CRC | MR-Rgger | 13.261 | 11 | 0.277 |
| genus.Faecalibacterium | CRC | IVW | 13.262 | 12 | 0.350 |
| genus.Ruminococcaceae UCG011 | CRC | MR-Rgger | 6.409 | 6 | 0.379 |
| genus.Ruminococcaceae UCG011 | CRC | IVW | 6.820 | 7 | 0.448 |
| genus.Ruminococcaceae UCG004 | CRC | MR-Rgger | 10.434 | 10 | 0.403 |
| genus.Ruminococcaceae UCG004 | CRC | IVW | 11.115 | 11 | 0.434 |
| genus.Eubacterium brachy group | CRC | MR-Rgger | 9.150 | 9 | 0.424 |
| genus.Eubacterium brachy group | CRC | IVW | 9.264 | 10 | 0.507 |
| genus.Lachnospiraceae FCS020 group | CRC | MR-Rgger | 6.834 | 13 | 0.910 |
| genus.Lachnospiraceae FCS020 group | CRC | IVW | 6.848 | 14 | 0.940 |
| genus.Eubacterium xylanophilum group | CRC | MR-Rgger | 4.699 | 9 | 0.860 |
| genus.Eubacterium xylanophilum group | CRC | IVW | 7.284 | 10 | 0.698 |
| genus.Coprobacter | CRC | MR-Rgger | 15.480 | 12 | 0.216 |
| genus.Coprobacter | CRC | IVW | 15.643 | 13 | 0.269 |
| genus.Prevotella9 | CRC | MR-Rgger | 16.705 | 16 | 0.405 |
| genus.Prevotella9 | CRC | IVW | 16.715 | 17 | 0.474 |
| family.Enterobacteriaceae | CRC | MR-Rgger | 9.278 | 9 | 0.412 |
| family.Enterobacteriaceae | CRC | IVW | 9.399 | 10 | 0.495 |
| order.Enterobacteriales | CRC | MR-Rgger | 9.278 | 9 | 0.412 |
| order.Enterobacteriales | CRC | IVW | 9.399 | 10 | 0.495 |
| T Cells | CRC | MR-Rgger | 3.227 | 1 | 0.072 |
| T Cells | CRC | IVW | 3.356 | 2 | 0.187 |
| genus.Ruminococcaceae NK4A214 group | T Cells | MR-Rgger | 13.403 | 14 | 0.495 |
| genus.Ruminococcaceae NK4A214 group | T Cells | IVW | 14.064 | 15 | 0.521 |
| genus.Eubacterium xylanophilum group | T Cells | MR-Rgger | 12.167 | 9 | 0.204 |
| genus.Eubacterium xylanophilum group | T Cells | IVW | 12.770 | 10 | 0.237 |
| genus.Ruminococcaceae UCG010 | T Cells | MR-Rgger | 5.807 | 6 | 0.445 |
| genus.Ruminococcaceae UCG010 | T Cells | IVW | 6.325 | 7 | 0.502 |
| order.Selenomonadales | T Cells | MR-Rgger | 9.926 | 11 | 0.537 |
| order.Selenomonadales | T Cells | IVW | 13.547 | 12 | 0.331 |
| genus.Family XIII AD3011 group | T Cells | MR-Rgger | 16.241 | 13 | 0.236 |
| genus.Family XIII AD3011 group | T Cells | IVW | 16.387 | 14 | 0.290 |
| genus.Coprobacter | T Cells | MR-Rgger | 17.482 | 12 | 0.132 |
| genus.Coprobacter | T Cells | IVW | 17.762 | 13 | 0.167 |
| Class.Negativicutes | T Cells | MR-Rgger | 9.926 | 11 | 0.537 |
| Class.Negativicutes | T Cells | IVW | 13.547 | 12 | 0.331 |
| family.Bifidobacteriaceae | T Cells | MR-Rgger | 5.992 | 15 | 0.980 |
| family.Bifidobacteriaceae | T Cells | IVW | 7.605 | 16 | 0.960 |
| genus.Allisonella | T Cells | MR-Rgger | 5.460 | 7 | 0.604 |
| genus.Allisonella | T Cells | IVW | 6.660 | 8 | 0.574 |
| order.Bifidobacteriales | T Cells | MR-Rgger | 5.992 | 15 | 0.980 |
| order.Bifidobacteriales | T Cells | IVW | 7.605 | 16 | 0.960 |
| Exposure | Outcome | MR method | Q | Q_df | Q_pval |
|---|---|---|---|---|---|
| CRC | genus.Prevotella7 | MR-Rgger | 33.667 | 20 | 0.028 |
| CRC | genus.Prevotella7 | IVW | 36.090 | 21 | 0.021 |
| CRC | genus.Faecalibacterium | MR-Rgger | 54.873 | 21 | <0.001 |
| CRC | genus.Faecalibacterium | IVW | 55.369 | 22 | <0.001 |
| CRC | genus.Ruminococcaceae UCG011 | MR-Rgger | 13.506 | 20 | 0.855 |
| CRC | genus.Ruminococcaceae UCG011 | IVW | 15.151 | 21 | 0.815 |
| CRC | genus.Ruminococcaceae UCG004 | MR-Rgger | 23.003 | 21 | 0.344 |
| CRC | genus.Ruminococcaceae UCG004 | IVW | 23.825 | 22 | 0.356 |
| CRC | genus.Eubacterium brachy group | MR-Rgger | 15.511 | 20 | 0.746 |
| CRC | genus.Eubacterium brachy group | IVW | 18.053 | 21 | 0.646 |
| CRC | genus.Lachnospiraceae FCS020 group | MR-Rgger | 29.009 | 21 | 0.114 |
| CRC | genus.Lachnospiraceae FCS020 group | IVW | 29.009 | 22 | 0.145 |
| CRC | genus.Eubacterium xylanophilum group | MR-Rgger | 30.851 | 21 | 0.076 |
| CRC | genus.Eubacterium xylanophilum group | IVW | 31.688 | 22 | 0.083 |
| CRC | genus.Coprobacter | MR-Rgger | 34.800 | 21 | 0.030 |
| CRC | genus.Coprobacter | IVW | 34.918 | 22 | 0.040 |
| CRC | genus.Prevotella9 | MR-Rgger | 19.765 | 21 | 0.536 |
| CRC | genus.Prevotella9 | IVW | 30.024 | 22 | 0.118 |
| CRC | family.Enterobacteriaceae | MR-Rgger | 26.429 | 21 | 0.191 |
| CRC | family.Enterobacteriaceae | IVW | 26.554 | 22 | 0.229 |
| CRC | order.Enterobacteriales | MR-Rgger | 26.429 | 21 | 0.191 |
| CRC | order.Enterobacteriales | IVW | 26.554 | 22 | 0.229 |
| CRC | T Cells | MR-Rgger | 17.594 | 23 | 0.779 |
| CRC | T Cells | IVW | 17.885 | 24 | 0.809 |
| T Cells | genus.Ruminococcaceae NK4A214 group | MR-Rgger | 1.310 | 3 | 0.727 |
| T Cells | genus.Ruminococcaceae NK4A214 group | IVW | 1.356 | 4 | 0.852 |
| T Cells | genus.Eubacterium xylanophilum group | MR-Rgger | 2.079 | 3 | 0.556 |
| T Cells | genus.Eubacterium xylanophilum group | IVW | 2.242 | 4 | 0.691 |
| T Cells | genus.Ruminococcaceae UCG010 | MR-Rgger | 0.939 | 3 | 0.816 |
| T Cells | genus.Ruminococcaceae UCG010 | IVW | 5.875 | 4 | 0.209 |
| T Cells | order.Selenomonadales | MR-Rgger | 6.388 | 3 | 0.094 |
| T Cells | order.Selenomonadales | IVW | 8.155 | 4 | 0.086 |
| T Cells | genus.Family XIII AD3011 group | MR-Rgger | 1.403 | 3 | 0.705 |
| T Cells | genus.Family XIII AD3011 group | IVW | 1.482 | 4 | 0.830 |
| T Cells | genus.Coprobacter | MR-Rgger | 11.202 | 3 | 0.011 |
| T Cells | genus.Coprobacter | IVW | 11.278 | 4 | 0.024 |
| T Cells | Class.Negativicutes | MR-Rgger | 6.388 | 3 | 0.094 |
| T Cells | Class.Negativicutes | IVW | 8.155 | 4 | 0.086 |
| T Cells | family.Bifidobacteriaceae | MR-Rgger | 2.909 | 3 | 0.406 |
| T Cells | family.Bifidobacteriaceae | IVW | 2.979 | 4 | 0.561 |
| T Cells | genus.Allisonella | MR-Rgger | 1.503 | 1 | 0.220 |
| T Cells | genus.Allisonella | IVW | 2.060 | 2 | 0.357 |
| T Cells | order.Bifidobacteriales | MR-Rgger | 2.909 | 3 | 0.406 |
| T Cells | order.Bifidobacteriales | IVW | 2.979 | 4 | 0.561 |
| T Cells | genus.Coprococcus1 | MR-Rgger | 4.329 | 3 | 0.228 |
| T Cells | genus.Coprococcus1 | IVW | 4.585 | 4 | 0.333 |
Tab.6 Heterogeneity test for gut microbiota, T cells, and colorectal cancer
| Exposure | Outcome | MR method | Q | Q_df | Q_pval |
|---|---|---|---|---|---|
| CRC | genus.Prevotella7 | MR-Rgger | 33.667 | 20 | 0.028 |
| CRC | genus.Prevotella7 | IVW | 36.090 | 21 | 0.021 |
| CRC | genus.Faecalibacterium | MR-Rgger | 54.873 | 21 | <0.001 |
| CRC | genus.Faecalibacterium | IVW | 55.369 | 22 | <0.001 |
| CRC | genus.Ruminococcaceae UCG011 | MR-Rgger | 13.506 | 20 | 0.855 |
| CRC | genus.Ruminococcaceae UCG011 | IVW | 15.151 | 21 | 0.815 |
| CRC | genus.Ruminococcaceae UCG004 | MR-Rgger | 23.003 | 21 | 0.344 |
| CRC | genus.Ruminococcaceae UCG004 | IVW | 23.825 | 22 | 0.356 |
| CRC | genus.Eubacterium brachy group | MR-Rgger | 15.511 | 20 | 0.746 |
| CRC | genus.Eubacterium brachy group | IVW | 18.053 | 21 | 0.646 |
| CRC | genus.Lachnospiraceae FCS020 group | MR-Rgger | 29.009 | 21 | 0.114 |
| CRC | genus.Lachnospiraceae FCS020 group | IVW | 29.009 | 22 | 0.145 |
| CRC | genus.Eubacterium xylanophilum group | MR-Rgger | 30.851 | 21 | 0.076 |
| CRC | genus.Eubacterium xylanophilum group | IVW | 31.688 | 22 | 0.083 |
| CRC | genus.Coprobacter | MR-Rgger | 34.800 | 21 | 0.030 |
| CRC | genus.Coprobacter | IVW | 34.918 | 22 | 0.040 |
| CRC | genus.Prevotella9 | MR-Rgger | 19.765 | 21 | 0.536 |
| CRC | genus.Prevotella9 | IVW | 30.024 | 22 | 0.118 |
| CRC | family.Enterobacteriaceae | MR-Rgger | 26.429 | 21 | 0.191 |
| CRC | family.Enterobacteriaceae | IVW | 26.554 | 22 | 0.229 |
| CRC | order.Enterobacteriales | MR-Rgger | 26.429 | 21 | 0.191 |
| CRC | order.Enterobacteriales | IVW | 26.554 | 22 | 0.229 |
| CRC | T Cells | MR-Rgger | 17.594 | 23 | 0.779 |
| CRC | T Cells | IVW | 17.885 | 24 | 0.809 |
| T Cells | genus.Ruminococcaceae NK4A214 group | MR-Rgger | 1.310 | 3 | 0.727 |
| T Cells | genus.Ruminococcaceae NK4A214 group | IVW | 1.356 | 4 | 0.852 |
| T Cells | genus.Eubacterium xylanophilum group | MR-Rgger | 2.079 | 3 | 0.556 |
| T Cells | genus.Eubacterium xylanophilum group | IVW | 2.242 | 4 | 0.691 |
| T Cells | genus.Ruminococcaceae UCG010 | MR-Rgger | 0.939 | 3 | 0.816 |
| T Cells | genus.Ruminococcaceae UCG010 | IVW | 5.875 | 4 | 0.209 |
| T Cells | order.Selenomonadales | MR-Rgger | 6.388 | 3 | 0.094 |
| T Cells | order.Selenomonadales | IVW | 8.155 | 4 | 0.086 |
| T Cells | genus.Family XIII AD3011 group | MR-Rgger | 1.403 | 3 | 0.705 |
| T Cells | genus.Family XIII AD3011 group | IVW | 1.482 | 4 | 0.830 |
| T Cells | genus.Coprobacter | MR-Rgger | 11.202 | 3 | 0.011 |
| T Cells | genus.Coprobacter | IVW | 11.278 | 4 | 0.024 |
| T Cells | Class.Negativicutes | MR-Rgger | 6.388 | 3 | 0.094 |
| T Cells | Class.Negativicutes | IVW | 8.155 | 4 | 0.086 |
| T Cells | family.Bifidobacteriaceae | MR-Rgger | 2.909 | 3 | 0.406 |
| T Cells | family.Bifidobacteriaceae | IVW | 2.979 | 4 | 0.561 |
| T Cells | genus.Allisonella | MR-Rgger | 1.503 | 1 | 0.220 |
| T Cells | genus.Allisonella | IVW | 2.060 | 2 | 0.357 |
| T Cells | order.Bifidobacteriales | MR-Rgger | 2.909 | 3 | 0.406 |
| T Cells | order.Bifidobacteriales | IVW | 2.979 | 4 | 0.561 |
| T Cells | genus.Coprococcus1 | MR-Rgger | 4.329 | 3 | 0.228 |
| T Cells | genus.Coprococcus1 | IVW | 4.585 | 4 | 0.333 |
| [1] | Ionescu VA, Gheorghe G, Bacalbasa N, et al. Colorectal cancer: from risk factors to oncogenesis[J]. Medicina: Kaunas, 2023, 59(9): 1646. doi:10.3390/medicina59091646 |
| [2] | Belkaid Y, Harrison OJ. Homeostatic immunity and the microbiota[J]. Immunity, 2017, 46(4): 562-76. doi:10.1016/j.immuni.2017.04.008 |
| [3] | Hu ZJ, Zhu HR, Jin YJ, et al. Correlation between gut microbiota and tumor immune microenvironment: a bibliometric and visualized study[J]. World J Clin Oncol, 2025, 16(2): 101611. doi:10.5306/wjco.v16.i2.101611 |
| [4] | Schwabe RF, Jobin C. The microbiome and cancer[J]. Nat Rev Cancer, 2013, 13(11): 800-12. doi:10.1038/nrc3610 |
| [5] | Yu LC. Microbiota dysbiosis and barrier dysfunction in inflammatory bowel disease and colorectal cancers: exploring a common ground hypothesis[J]. J Biomed Sci, 2018, 25(1): 79. doi:10.1186/s12929-018-0483-8 |
| [6] | Hou X, Zheng Z, Wei J, et al. Effects of gut microbiota on immune responses and immunotherapy in colorectal cancer[J]. Front Immunol, 2022, 13: 1030745. doi:10.3389/fimmu.2022.1030745 |
| [7] | Scarpellini E, Ianiro G, Attili F, et al. The human gut microbiota and virome: Potential therapeutic implications[J]. Dig Liver Dis, 2015, 47(12): 1007-12. doi:10.1016/j.dld.2015.07.008 |
| [8] | Quaglio AEV, Grillo TG, De Oliveira ECS, et al. Gut microbiota, inflammatory bowel disease and colorectal cancer[J]. World J Gastroenterol, 2022, 28(30): 4053-60. doi:10.3748/wjg.v28.i30.4053 |
| [9] | Shim JA, Ryu JH, Jo Y, et al. The role of gut microbiota in T cell immunity and immune mediated disorders[J]. Int J Biol Sci, 2023, 19(4): 1178-91. doi:10.7150/ijbs.79430 |
| [10] | Kumar BV, Connors TJ, Farber DL. Human T cell development, localization, and function throughout life[J]. Immunity, 2018, 48(2): 202-13. doi:10.1016/j.immuni.2018.01.007 |
| [11] | Ni JJ, Li XS, Zhang H, et al. Mendelian randomization study of causal link from gut microbiota to colorectal cancer[J]. BMC Cancer, 2022, 22(1): 1371. doi:10.1186/s12885-022-10483-w |
| [12] | Goodwin AC, Destefano Shields CE, Wu S, et al. Polyamine catabolism contributes to enterotoxigenic Bacteroides fragilis-induced colon tumorigenesis[J]. Proc Natl Acad Sci USA, 2011, 108(37): 15354-9. doi:10.1073/pnas.1010203108 |
| [13] | Brennan CA, Clay SL, et al. Fusobacterium nucleatumdrives a pro-inflammatory intestinal microenvironment through metabolite receptor-dependent modulation of IL-17 expression[J]. Gut Microbes, 2021, 13: 1987780. doi:10.1080/19490976.2021.1987780 |
| [14] | Galon J, Costes A, Sanchez-Cabo F, et al. Type, density, and location of immune cells within human colorectal tumors predict clinical outcome[J]. Science, 2006, 313(5795): 1960-4. doi:10.1126/science.1129139 |
| [15] | Salama P, Phillips M, Grieu F, et al. Tumor-infiltrating FOXP3+ T regulatory cells show strong prognostic significance in colorectal cancer[J]. J Clin Oncol, 2009, 27(2): 186-92. doi:10.1200/jco.2008.18.7229 |
| [16] | Zheng Z, Wieder T, Mauerer B, et al. T cells in colorectal cancer: unravelling the function of different T cell subsets in the tumor microenvironment[J]. Int J Mol Sci, 2023, 24(14): 11673. doi:10.3390/ijms241411673 |
| [17] | Burgess S, Butterworth A, Thompson SG. Mendelian randomization analysis with multiple genetic variants using summarized data[J]. Genet Epidemiol, 2013, 37(7): 658-65. doi:10.1002/gepi.21758 |
| [18] | Fong W, Li Q, Yu J. Gut microbiota modulation: a novel strategy for prevention and treatment of colorectal cancer[J]. Oncogene, 2020, 39(26): 4925-43. doi:10.1038/s41388-020-1341-1 |
| [19] | Yuan H, Gui R, Wang Z, et al. Gut microbiota: a novel and potential target for radioimmunotherapy in colorectal cancer[J]. Front Immunol, 2023, 14: 1128774. doi:10.3389/fimmu.2023.1128774 |
| [20] | Smith GD, Ebrahim S. 'Mendelian randomization': can genetic epidemiology contribute to understanding environmental deter-minants of disease[J]? Int J Epidemiol, 2003, 32(1): 1-22. doi:10.1093/ije/dyg070 |
| [21] | 胡旭焘.肠道菌群,循环代谢物与胆石症:一项孟德尔随机化研究[D].吉林大学, 2024. 003850. |
| [22] | Shan J, Hu X, Chen T, et al. COVID-19 vaccination and the risk of autoimmune diseases: a Mendelian randomization study[J]. Front Public Health, 2024, 12: 1322140. doi:10.3389/fpubh.2024.1322140 |
| [23] | Burgess S, Bowden J, Fall T, et al. Sensitivity analyses for robust causal inference from mendelian randomization analyses with multiple genetic variants[J]. Epidemiology, 2017, 28(1): 30-42. doi:10.1097/ede.0000000000000559 |
| [24] | Bowden J, Davey Smith G, Burgess S. Mendelian randomization with invalid instruments: effect estimation and bias detection through egger regression[J]. Int J Epidemiol, 2015, 44(2): 512-25. doi:10.1093/ije/dyv080 |
| [25] | Bowden J, Davey Smith G, Haycock PC, et al. Consistent estimation in mendelian randomization with some invalid instruments using a weighted Median estimator[J]. Genet Epidemiol, 2016, 40(4): 304-14. doi:10.1002/gepi.21965 |
| [26] | Hartwig FP, Davey Smith G, Bowden J. Robust inference in summary data Mendelian randomization via the zero modal pleiotropy assumption[J]. Int J Epidemiol, 2017, 46(6): 1985-98. doi:10.1093/ije/dyx102 |
| [27] | Burgess S, Thompson SG. Interpreting findings from Mendelian randomization using the MR-Egger method[J]. Eur J Epidemiol, 2017, 32(5): 377-89. doi:10.1007/s10654-017-0255-x |
| [28] | Verbanck M, Chen CY, Neale B, et al. Detection of widespread horizontal pleiotropy in causal relationships inferred from Mendelian randomization between complex traits and diseases[J]. Nat Genet, 2018, 50(5): 693-8. doi:10.1038/s41588-018-0099-7 |
| [29] | Hemani G, Bowden J, Davey Smith G. Evaluating the potential role of pleiotropy in Mendelian randomization studies[J]. Hum Mol Genet, 2018, 27(r2): R195-208. doi:10.1093/hmg/ddy163 |
| [30] | Hemani G, Tilling K, Davey Smith G. Orienting the causal relationship between imprecisely measured traits using GWAS summary data[J]. PLoS Genet, 2017, 13(11): e1007081. doi:10.1371/journal.pgen.1007081 |
| [31] | Davies NM, Holmes MV, Davey Smith G. Reading Mendelian randomisation studies: a guide, glossary, and checklist for clinicians[J]. BMJ, 2018, 362: k601. doi:10.1136/bmj.k601 |
| [32] | Teng NMY, Kiu R, Evans R, et al. Allocoprobacillus halotolerans gen. nov., sp. nov and Coprobacter tertius sp. nov., isolated from human gut microbiota[J]. Int J Syst Evol Microbiol, 2023, 73(7): 5950-8. doi:10.1099/ijsem.0.005950 |
| [33] | Yu J, Feng Q, Wong SH, et al. Metagenomic analysis of faecal microbiome as a tool towards targeted non-invasive biomarkers for colorectal cancer[J]. Gut, 2017, 66(1): 70-8. doi:10.1136/gutjnl-2015-309800 |
| [34] | Silva M, Brunner V, Tschurtschenthaler M. Microbiota and colorectal cancer: from gut to bedside[J]. Front Pharmacol, 2021, 12: 760280. doi:10.3389/fphar.2021.760280 |
| [35] | Wang Y, Wan X, Wu X, et al. Eubacterium rectale contributes to colorectal cancer initiation via promoting colitis[J]. Gut Pathog, 2021, 13(1): 2. doi:10.1186/s13099-020-00396-z |
| [36] | Li HY, Wang Y, Shao SM, et al. Rabdosia serra alleviates dextran sulfate sodium salt-induced colitis in mice through anti-inflammation, regulating Th17/Treg balance, maintaining intestinal barrier integrity, and modulating gut microbiota[J]. J Pharm Anal, 2022, 12(6): 824-38. doi:10.1016/j.jpha.2022.08.001 |
| [37] | Park JS, Gazzaniga FS, Wu M, et al. Targeting PD-L2-RGMb overcomes microbiome-related immunotherapy resistance[J]. Nature, 2023, 617(7960): 377-85. doi:10.1038/s41586-023-06026-3 |
| [1] | Rongmao HE, Zeyang FANG, Yunyun ZHANG, Youliang WU, Shixiu LIANG, Tao JI, Kequan CHEN, Siqi WANG. Diagnostic and predictive value of ferroptosis-related genes in patients with ulcerative colitis [J]. Journal of Southern Medical University, 2025, 45(9): 1927-1937. |
| [2] | Chuyu DENG, Xueying WANG, Lixiang GAN, Dayu WANG, Xiaoyan ZHENG, Chunzhi TANG. Electroacupuncture at Zusanli improves blood lipid disorders in hyperlipidemic mice by improving gut microbiota structure [J]. Journal of Southern Medical University, 2025, 45(8): 1633-1642. |
| [3] | Hongbo ZHANG, Mengyu YAN, Jiandong ZHANG, Peiwang SUN, Rui WANG, Yuanyuan GUO. Pirfenidone inhibits bladder cancer xenograft growth in mice by regulating regulatory T cells [J]. Journal of Southern Medical University, 2025, 45(7): 1513-1518. |
| [4] | Kang WANG, Haibin LI, Jing YU, Yuan MENG, Hongli ZHANG. High expression of ELFN1 is a prognostic biomarker and promotes proliferation and metastasis of colorectal cancer cells [J]. Journal of Southern Medical University, 2025, 45(7): 1543-1553. |
| [5] | Yuexuan ZHU, Zhangrui ZHU, Peng WU. Pentosan polysulfate alleviates cyclophosphamide-induced interstitial cystitis/bladder pain syndrome in mice by modulating gut microbiota and bile acid metabolism [J]. Journal of Southern Medical University, 2025, 45(6): 1270-1279. |
| [6] | Nuozhou WENG, Bin TAN, Wentao ZENG, Jiayu GU, Lianji WENG, Kehong ZHENG. RGL1 overexpression promotes metastasis of colorectal cancer by upregulating motile focal adhesion assembly via activating the CDC42/RAC1 complex [J]. Journal of Southern Medical University, 2025, 45(5): 1031-1038. |
| [7] | Anbang ZHANG, Xiuqi SUN, Bo PANG, Yuanhua WU, Jingyu SHI, Ning ZHANG, Tao YE. Electroacupuncture pretreatment alleviates cerebral ischemia-reperfusion injury in rats by inhibiting ferroptosis through the gut-brain axis and the Nrf2/HO-1 signaling pathway [J]. Journal of Southern Medical University, 2025, 45(5): 911-920. |
| [8] | Zhennan MA, Fuquan LIU, Xuefeng ZHAO, Xiaowei ZHANG. High expression of DTX2 promotes proliferation, invasion and epithelial-mesenchymal transition of oxaliplatin-resistant colorectal cancer cells [J]. Journal of Southern Medical University, 2025, 45(4): 829-836. |
| [9] | Wenjie LI, Yaonan HONG, Rui HUANG, Yuchen LI, Ying ZHANG, Yun ZHANG, Dijiong WU. Causal relationship between autoimmune diseases and aplastic anemia: A Mendelian randomization study [J]. Journal of Southern Medical University, 2025, 45(4): 871-879. |
| [10] | Shunjie QING, Zhiyong SHEN. High expression of hexokinase 2 promotes proliferation, migration and invasion of colorectal cancer cells by activating the JAK/STAT pathway and regulating tumor immune microenvironment [J]. Journal of Southern Medical University, 2025, 45(3): 542-553. |
| [11] | Jiachun LUO, Sodnomjamts Batzaya, Xuefeng GAO, Jingyu CHEN, Zhengying YU, Shasha XIONG, Hong CAO. Akkermansia muciniphila gavage improves gut-brain interaction disorders in gp120 transgenic mice [J]. Journal of Southern Medical University, 2025, 45(3): 554-565. |
| [12] | Lixia YIN, Minzhu NIU, Keni ZHANG, Zhijun GENG, Jianguo HU, Jiangyan LI, Jing LI. Cimifugin ameliorates Crohn's disease-like colitis in mice by modulating Th-cell immune balance via inhibiting the MAPK pathway [J]. Journal of Southern Medical University, 2025, 45(3): 595-602. |
| [13] | Junjie GAO, Kai YE, Jing WU. Quercetin inhibits proliferation and migration of clear cell renal cell carcinoma cells by regulating TP53 gene [J]. Journal of Southern Medical University, 2025, 45(2): 313-321. |
| [14] | Xingxu PAN, Bingqi ZHANG, Zhihua ZHANG, Qiushi CAO. Reduced intestinal abundance of Gordonibacter increases risk of kidney stones: a Mendelian randomization study and evidence from rat models [J]. Journal of Southern Medical University, 2025, 45(11): 2405-2415. |
| [15] | Huihua MA, Kuipo YAN, Gang LIU, Yazhou XU, Lei ZHANG, Yizhuo LI. Epidemiology of atrial fibrillation/atrial flutter and its risk factors from 1990 to 2021: a systematic analysis and Mendelian randomization study based on the China and Global Burden of Disease Study 2021 [J]. Journal of Southern Medical University, 2025, 45(10): 2182-2190. |
| Viewed | ||||||
|
Full text |
|
|||||
|
Abstract |
|
|||||