Journal of Southern Medical University ›› 2025, Vol. 45 ›› Issue (12): 2616-2627.doi: 10.12122/j.issn.1673-4254.2025.12.09

Previous Articles    

Preoperative serum magnesium as a biomarker for predicting delirium following non-cardiac surgery in elderly patients: a retrospective cohort study

Mengyao YUAN1,2(), Xianghan RUAN1,2, Yang LI1, Ting ZHANG1, Chunxiang HAO1, Hao LI1, Jingsheng LOU1, Jiangbei CAO1, Yanhong LIU1, Weidong MI1(), Xiaoying ZHANG1()   

  1. 1.Department of Anesthesiology, the First Medical Center of Chinese PLA General Hospital, Beijing 100853, China
    2.Chinese PLA Medical School, Beijing 100853, China
  • Received:2025-07-15 Online:2025-12-20 Published:2025-12-22
  • Contact: Weidong MI, Xiaoying ZHANG E-mail:yuanmengyaoup@126.com;wwdd1962@163.com;zxystudy@163.com

Abstract:

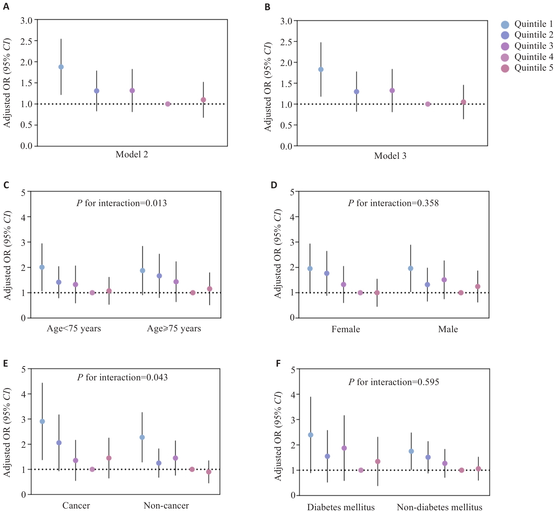
Objective To investigate the association of preoperative serum magnesium (sMg) level with postoperative delirium (POD) in elderly surgical patients and the mediating role of systemic inflammation. Methods This retrospective cohort study was conducted among 12 876 patients aged ≥65 years undergoing non-cardiac, non-neurological surgeries at Chinese PLA General Hospital between January, 2014 and December, 2021. Preoperative sMg and C-reactive protein (CRP) levels were measured within 30 days before surgery. POD was identified within 7 days postoperatively using structured chart review based on the Confusion Assessment Method. Multivariate logistic regression and restricted cubic spline (RCS) models were used to evaluate the association between sMg and POD. Mediation analysis with structural equation modeling was used to quantify the indirect effect of CRP after adjusting for the confounding factors. Results POD was identified in 685 (5.3%) of the patients. A significant nonlinear association was observed between preoperative sMg levels and POD risk, and POD incidence was the lowest in patients with sMg levels of 0.90-0.94 mmol/L. Compared with those in the 4th quintile, the patients in the lowest quintile exhibited a markedly increased risk of POD (OR=1.81, 95% CI: 1.41-2.35) even after adjustment for multiple confounding factors. Mediation analysis suggested that CRP explained 17.1% of the total effect of sMg on POD risk, and a stronger mediating effect was observed in cancer as compared with the non-cancer patients (24.1% vs 11.9%). Subgroup analyses revealed a significant nonlinear relationship between sMg and POD particularly in cancer patients and patients beyond 75 years of age. Conclusion Preoperative sMg level is independently associated with an increased POD risk in elderly patients, mediated partly by systemic inflammation. sMg may serve as a modifiable biomarker for early risk stratification and prevention for POD in perioperative care.

Key words: magnesium, postoperative delirium, systemic inflammation, C-reactive protein, elderly patients