Journal of Southern Medical University ›› 2025, Vol. 45 ›› Issue (11): 2495-2503.doi: 10.12122/j.issn.1673-4254.2025.11.22
Peiyu ZHANG(
), Ziheng XIE(
), Yan ZHUANG(
)
Received:2024-12-12
Online:2025-11-20
Published:2025-11-28
Contact:
Yan ZHUANG
E-mail:952398229@qq.com;2747128090@qq.com;zhuangy179@126.com
Supported by:Peiyu ZHANG, Ziheng XIE, Yan ZHUANG. Impact of incorrect designation of working correlation structure matrix on sample size estimation in 2×2 cross design: a simulation study[J]. Journal of Southern Medical University, 2025, 45(11): 2495-2503.
Add to citation manager EndNote|Ris|BibTeX
URL: https://www.j-smu.com/EN/10.12122/j.issn.1673-4254.2025.11.22
| Item | Sequence AB (s=1) | Sequence BA (s=2) | ||||
|---|---|---|---|---|---|---|
| Period 1 | Period 2 | Both period | Period 1 | Period 2 | Both period | |
| Weightsa | ||||||
| Covariates for binary | ||||||
| - | - | |||||
| - | - | |||||
| Covariates for ordinal outcome with | ||||||
| - | - | |||||
| - | - | |||||
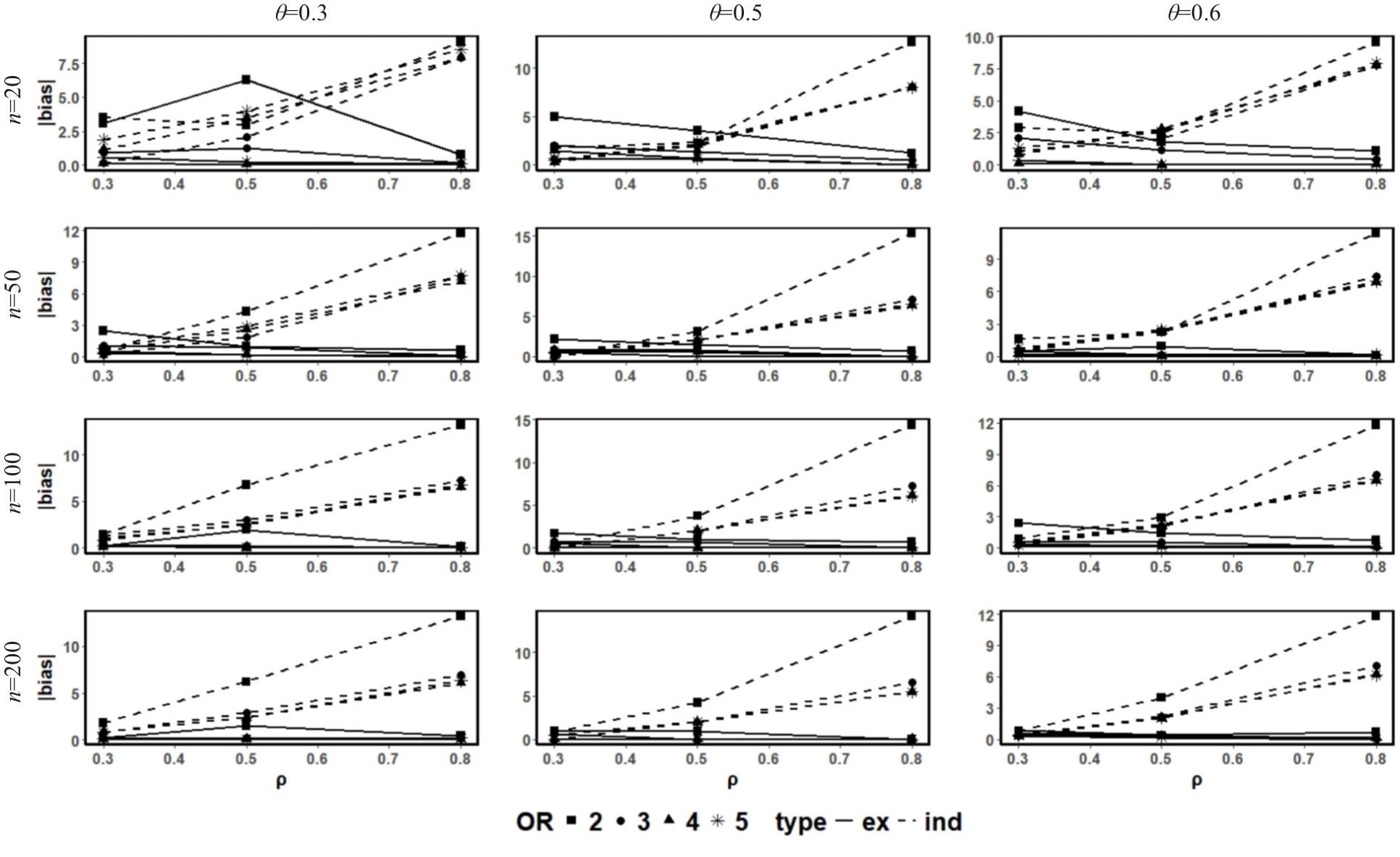
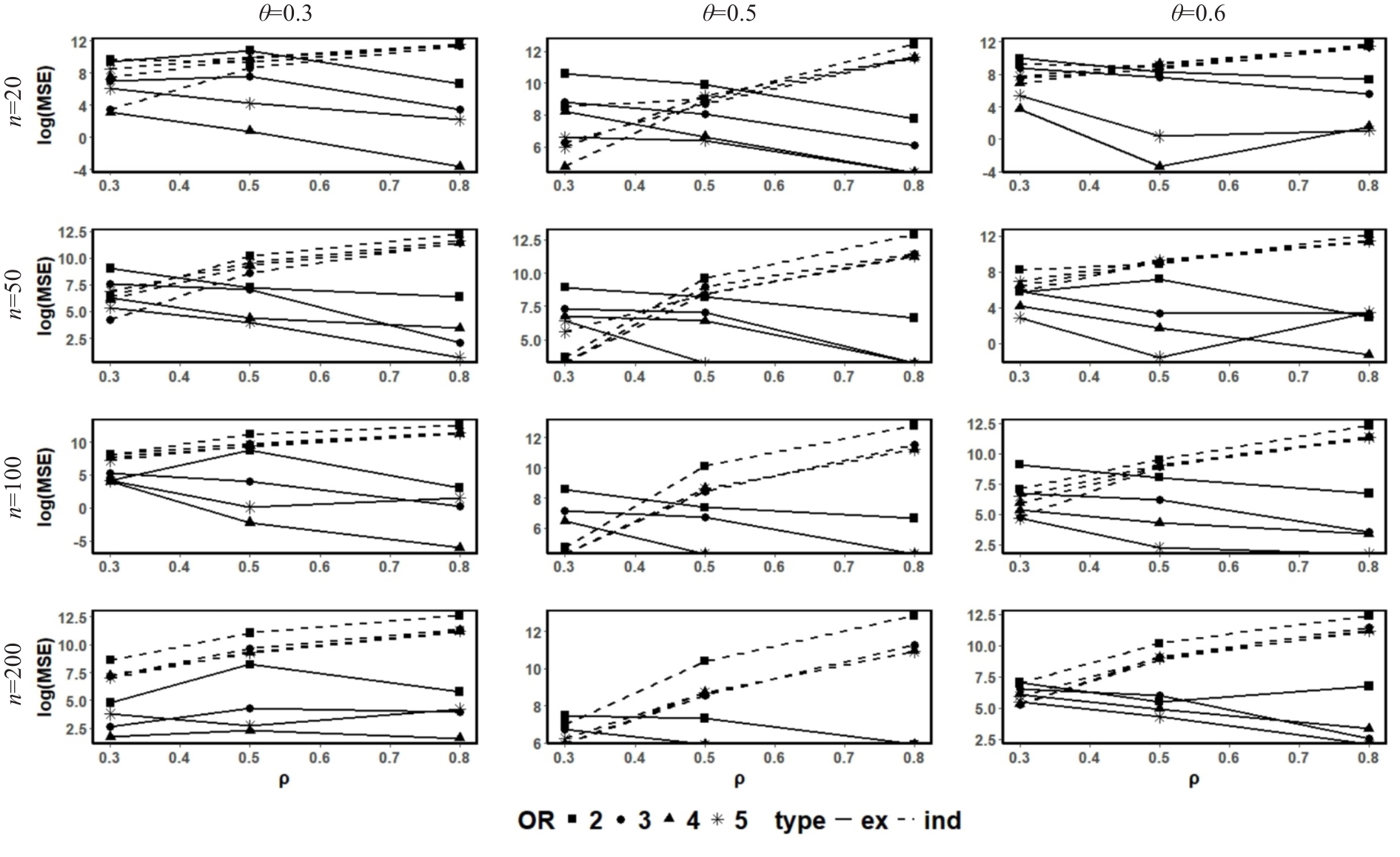
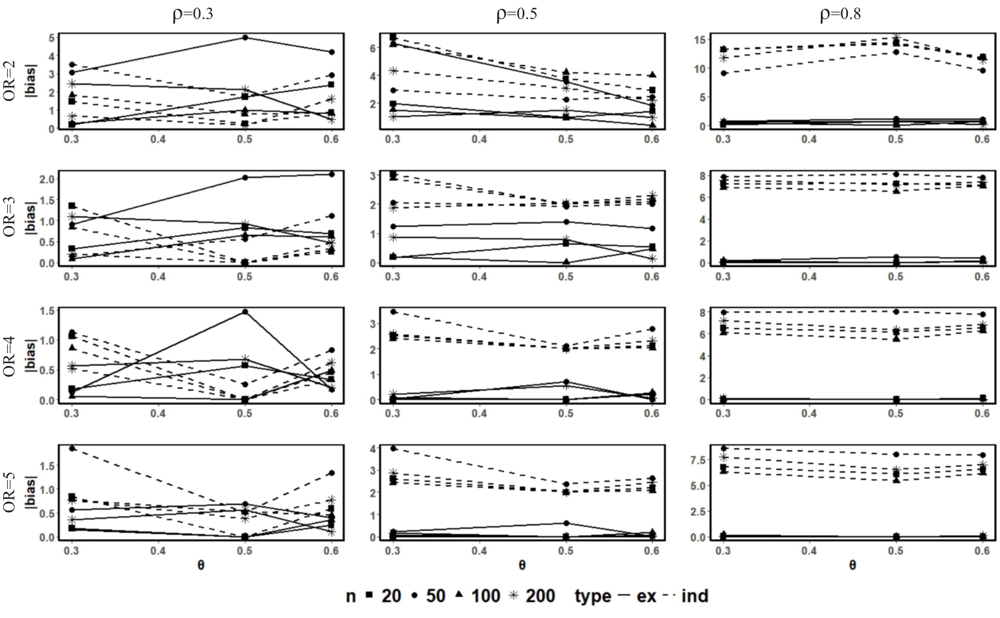
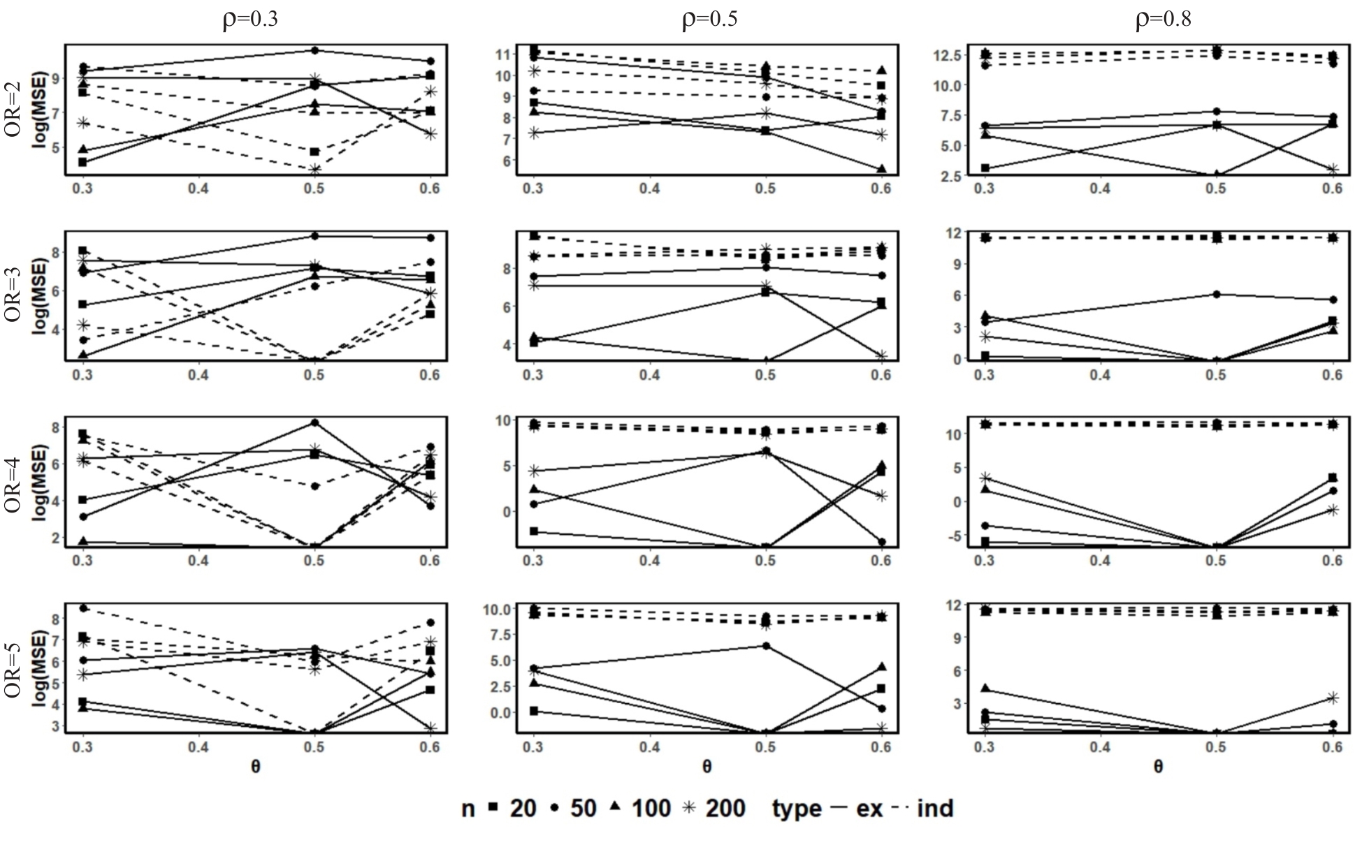
Tab.1 Weights and covariate configurations in crossover trials with outcomes collected at a single time point in each period
| Item | Sequence AB (s=1) | Sequence BA (s=2) | ||||
|---|---|---|---|---|---|---|
| Period 1 | Period 2 | Both period | Period 1 | Period 2 | Both period | |
| Weightsa | ||||||
| Covariates for binary | ||||||
| - | - | |||||
| - | - | |||||
| Covariates for ordinal outcome with | ||||||
| - | - | |||||
| - | - | |||||
| Id | Period | Treatment | s | Y |
|---|---|---|---|---|
| 1 | 0 | 1 | 1 | 0 |
| 1 | 1 | 0 | 1 | 0 |
| 2 | 0 | 1 | 1 | 0 |
| 2 | 1 | 0 | 1 | 0 |
| ︙ | ︙ | ︙ | ︙ | ︙ |
| 49 | 0 | 0 | 2 | 0 |
| 49 | 1 | 1 | 2 | 0 |
| 50 | 0 | 0 | 2 | 0 |
| 50 | 1 | 1 | 2 | 0 |
Tab.2 Data structure
| Id | Period | Treatment | s | Y |
|---|---|---|---|---|
| 1 | 0 | 1 | 1 | 0 |
| 1 | 1 | 0 | 1 | 0 |
| 2 | 0 | 1 | 1 | 0 |
| 2 | 1 | 0 | 1 | 0 |
| ︙ | ︙ | ︙ | ︙ | ︙ |
| 49 | 0 | 0 | 2 | 0 |
| 49 | 1 | 1 | 2 | 0 |
| 50 | 0 | 0 | 2 | 0 |
| 50 | 1 | 1 | 2 | 0 |
| [1] | Hills M, Armitage P. The two-period cross-over clinical trial[J]. Brit J Clinical Pharma, 1979, 8(1): 7-20. doi:10.1111/j.1365-2125.1979.tb05903.x |
| [2] | Lui KJ, Chang KC. Test non-inferiority (and equivalence) based on the odds ratio under a simple crossover trial[J]. Stat Med, 2011, 30(11): 1230-42. doi:10.1002/sim.4166 |
| [3] | Lui KJ. Sample size determination for testing equality in Poisson frequency data under an AB/BA crossover trial[J]. Pharm Stat, 2013, 12(2): 74-81. doi:10.1002/pst.1555 |
| [4] | Chow SC, Wang H. On sample size calculation in bioequivalence trials[J]. J Pharmacokinet Pharmacodyn, 2001, 28(2): 155-69. doi:10.1023/a:1011503032353 |
| [5] | Chow SC, Cheng B, Cosmatos D. On power and sample size calculation for QT studies with recording replicates at given time point[J]. J Biopharm Stat, 2008, 18(3): 483-93. doi:10.1080/10543400801995452 |
| [6] | Siyasinghe NM, Sooriyarachchi MR. Guidelines for calculating sample size in 2x2 crossover trials: a simulation study[J]. J Natl Sci Found Sri Lanka, 2011, 39(1): 77. doi:10.4038/jnsfsr.v39i1.2929 |
| [7] | Liang KY, Zeger SL.. Longitudinal data-analysis using generalized linear-models[J]. Biometrika, 1986, 73(1): 13-22. doi:10.1093/biomet/73.1.13 |
| [8] | 高燕宁, 蔡文玮, 周纪芗. 广义估计方程GEE1与纵向资料的回归分析[J]. 数理医药学杂志, 1994, 7(2): 118-23. |
| [9] | 高燕宁, 刘欣华, 蔡文玮, 等. 广义估计方程GEE2与GEE1的比较[J]. 数理医药学杂志, 1996, 9(4): 321-2. |
| [10] | 夏 彦, 潘晓平, 刘元元, 等. 广义估计方程在临床试验重复测量资料中的应用[J]. 现代预防医学, 2005, 32(5): 444-5. |
| [11] | 宋秋月, 易 东, 伍亚舟. 不同作业相关结构的纵向数据GEE分析[C]//2017年中国卫生统计学学术年会论文集. 武汉, 2017: 76. |
| [12] | Zou GY, Donner A. Extension of the modified Poisson regression model to prospective studies with correlated binary data[J]. Stat Methods Med Res, 2013, 22(6): 661-70. doi:10.1177/0962280211427759 |
| [13] | Ford WP, Westgate PM. A comparison of bias-corrected empirical covariance estimators with generalized estimating equations in small-sample longitudinal study settings[J]. Stat Med, 2018, 37(28): 4318-29. doi:10.1002/sim.7917 |
| [14] | Li P, Redden DT. Small sample performance of bias-corrected sandwich estimators for cluster-randomized trials with binary outcomes[J]. Stat Med, 2015, 34(2): 281-96. doi:10.1002/sim.6344 |
| [15] | Pan W. Sample size and power calculations with correlated binary data[J]. Control Clin Trials, 2001, 22(3): 211-27. doi:10.1016/s0197-2456(01)00131-3 |
| [16] | Jung SH, Ahn CW. Sample size for a two-group comparison of repeated binary measurements using GEE[J]. Stat Med, 2005, 24(17): 2583-96. doi:10.1002/sim.2136 |
| [17] | Kim HY, Williamson JM, Lyles CM. Sample-size calculations for studies with correlated ordinal outcomes[J]. Stat Med, 2005, 24(19): 2977-87. doi:10.1002/sim.2162 |
| [18] | Shih WJ. Sample size and power calculations for periodontal and other studies with clustered samples using the method of generalized estimating equations[J]. Biom J, 1997, 39(8): 899-908. doi:10.1002/bimj.4710390803 |
| [19] | Teerenstra S, Lu B, Preisser JS, et al. Sample size considerations for GEE analyses of three-level cluster randomized trials[J]. Biometrics, 2010, 66(4): 1230-7. doi:10.1111/j.1541-0420.2009.01374.x |
| [20] | Li F, Forbes AB, Turner EL, et al. Power and sample size requirements for GEE analyses of cluster randomized crossover trials[J]. Stat Med, 2019, 38(4): 636-49. doi:10.1002/sim.7995 |
| [21] | Li F, Turner EL, Preisser JS. Sample size determination for GEE analyses of stepped wedge cluster randomized trials[J]. Biometrics, 2018, 74(4): 1450-8. doi:10.1111/biom.12918 |
| [22] | Li F. Design and analysis considerations for cohort stepped wedge cluster randomized trials with a decay correlation structure[J]. Stat Med, 2020, 39(4): 438-55. doi:10.1002/sim.8415 |
| [23] | Zhang S, Cao J, Ahn C. A GEE approach to determine sample size for pre- and post-intervention experiments with dropout[J]. Comput Stat Data Anal, 2014, 69: 10.1016/j.csda.2013.07.037. doi:10.1016/j.csda.2013.07.037 |
| [24] | Tang YQ. Power and sample size for GEE analysis of incomplete paired outcomes in 2 × 2 crossover trials[J]. Pharm Stat, 2021, 20(4): 820-39. doi:10.1002/pst.2112 |
| [25] | 刘 凯. 基于广义估计方程样本量的计算[D]. 大连: 大连理工大学, 2020. |
| [26] | Tang YQ. A noniterative sample size procedure for tests based on t distributions[J]. Stat Med, 2018, 37(22): 3197-213. doi:10.1002/sim.7807 |
| [27] | Spiegelman D, Hertzmark E. Easy SAS calculations for risk or prevalence ratios and differences[J]. Am J Epidemiol, 2005, 162(3): 199-200. doi:10.1093/aje/kwi188 |
| [28] | Mancl LA, DeRouen TA. A covariance estimator for GEE with improved small-sample properties[J]. Biometrics, 2001, 57(1): 126-34. doi:10.1111/j.0006-341x.2001.00126.x |
| [29] | Kauermann G, Carroll RJ. A note on the efficiency of sandwich covariance matrix estimation[J]. J Am Stat Assoc, 2001, 96(456): 1387-96. doi:10.1198/016214501753382309 |
| [30] | Huang YJ, Pan JX. Joint generalized estimating equations for longitudinal binary data[J]. Comput Stat Data Anal, 2021, 155: 107110. doi:10.1016/j.csda.2020.107110 |
| [31] | Tsai MY. Concordance correlation coefficients estimated by generalized estimating equations and variance components for longitudinal repeated measurements[J]. Stat Med, 2017, 36(8): 1319-33. doi:10.1002/sim.7207 |
| [32] | Janse RJ, Hoekstra T, Jager KJ, et al. Conducting correlation analysis: important limitations and pitfalls[J]. Clin Kidney J, 2021, 14(11): 2332-7. doi:10.1093/ckj/sfab085 |
| [1] | YU Milai, SHI Xiaotong, ZOU Biqing, AN Shengli. Comparison of 7 methods for sample size determination based on confidence interval estimation for a single proportion [J]. Journal of Southern Medical University, 2023, 43(1): 105-110. |
| Viewed | ||||||
|
Full text |
|
|||||
|
Abstract |
|
|||||