南方医科大学学报 ›› 2026, Vol. 46 ›› Issue (2): 443-455.doi: 10.12122/j.issn.1673-4254.2026.02.22
• • 上一篇
徐乔1(
), 李文杰1, 张馨月1, 陈越1, 蒋子通1, 李光哲1,2(
), 严铭铭1,2(
)
收稿日期:2025-04-17
出版日期:2026-02-20
发布日期:2026-03-10
通讯作者:
李光哲,严铭铭
E-mail:xqsfsspaxl@163.com;ligz@nenu.edu.cn;386759102@qq.com
作者简介:徐 乔,在读硕士研究生,E-mail: xqsfsspaxl@163.com
基金资助:
Qiao XU1(
), Wenjie LI1, Xinyue ZHANG1, Yue CHEN1, Zitong JIANG1, Guangzhe LI1,2(
), Mingming YAN1,2(
)
Received:2025-04-17
Online:2026-02-20
Published:2026-03-10
Contact:
Guangzhe LI, Mingming YAN
E-mail:xqsfsspaxl@163.com;ligz@nenu.edu.cn;386759102@qq.com
摘要:
目的 优化白芍提取工艺,建立白芍提取物(BST)多指标含量检测方法,并初步探讨其对小鼠黑色素瘤细胞(B16F10)的酪氨酸酶(TYR)活性抑制作用和对人永生化表皮细胞(HaCaT)中ROS水平的降低作用,并对BST对体内小鼠模型治疗效果进行评估。 方法 以分子对接手段确定潜在TYR抑制剂成分为没食子酸、甘草苷及芍药苷;采用高效液相色谱法(HPLC)建立BST液相图谱,测定3种潜在TYR抑制剂的含量,并进行方法学验证;通过熵权法计算3种潜在TYR抑制剂的含量、TYR抑制活性及DPPH及自由基清除能力的综合评分作为响应值,采用单因素结合响应面分析法考察溶剂配比、液料比、提取时间以及粉碎目数等因素对BST提取工艺的影响,以确定最优提取工艺;通过设置黑色素-酪氨酸酶B16F10细胞实验空白组(正常培养)、模型组(α-MSH处理)、给药组(α-MSH +BST)、Hacat细胞体外抗氧化活性试验空白组[正常培养,模型组双氧水(H2O2)处理)、给药组(H2O2+BST处理)以验证作用机制。通过UVB辐射暴露系统建立小鼠黑色素瘤模型,BST(100、150、200 mg/kg)给予0.2 mL的混悬液灌胃,结合观察实验动物背部皮肤状态、Fontana-Masson银染色结果以及检测血清样本中参与调控黑色素生成、转运或代谢及抗炎相关细胞因子水平指标综合评估BST体内美白作用效果。 结果 分子对接结果显示BST中潜在TYR抑制剂与TYR蛋白结构的残基存在相互作用关系,建立了BST潜在TYR抑制剂的HPLC含量测定方法,方法学验证表明该方法稳定可行;单因素-响应面实验表明BST最优提取工艺为提取溶剂50%乙醇,液料比1∶15,提取时间1h,粉碎目数20目;BST对DPPH自由基以及羟自由基具有直接清除作用,能显著减少细胞中黑色素的形成并提高B16细胞内TYR蛋白的相对含量并降低HaCat细胞中ROS水平,并在体内通过抑制TYR与TNF-α (P<0.01)直接抑制黑色素合成关键酶与间接抗炎的双重美白机制,双向调节色素代谢,有效逆转UVB诱导的皮肤光老化及色素沉着。 结论 基于单因素响应面法优化的BST提取工艺稳定可靠、预测性良好,药理分析研究表明BST的美白作用可能是通过抑制TYR活性和调节氧化应激和炎症通路的双向调节机制而实现的。
徐乔, 李文杰, 张馨月, 陈越, 蒋子通, 李光哲, 严铭铭. 基于“抗氧化-炎症-色素沉着轴”优化白芍的提取工艺与美白功效评价[J]. 南方医科大学学报, 2026, 46(2): 443-455.
Qiao XU, Wenjie LI, Xinyue ZHANG, Yue CHEN, Zitong JIANG, Guangzhe LI, Mingming YAN. Optimized extraction of active components of Paeonia lactiflora and their antioxidant, anti-inflammatory and pigmentation-reducing effects for skin whitening[J]. Journal of Southern Medical University, 2026, 46(2): 443-455.
| Reagent | C0 | C | T0 | T |
|---|---|---|---|---|
| PBS | 2.5 | 2 | 2 | 1.5 |
| TYR | 0.5 | 0.5 | 0.5 | 0.5 |
| L-tyrosine | - | 0.5 | - | 0.5 |
| Sample | - | - | 0.5 | 0.5 |
表1 TYR 催化反应体系
Tab.1 Tyrosinase (TYR) catalytic reaction system
| Reagent | C0 | C | T0 | T |
|---|---|---|---|---|
| PBS | 2.5 | 2 | 2 | 1.5 |
| TYR | 0.5 | 0.5 | 0.5 | 0.5 |
| L-tyrosine | - | 0.5 | - | 0.5 |
| Sample | - | - | 0.5 | 0.5 |
| Serial number | Compound | Molecular weight (Da) | Binding site on TYR | Binding energy (kcal/mol) |
|---|---|---|---|---|
| 1 | Glycyrrhizin | 418.4 | ALA-127,MET-129,SER-77, GLN-78 | -8.5 |
| 2 | Paeoniflorin | 480.45 | LYS-35,PHE-93,ARG-90,PRO-91 | -6.6 |
| 3 | Gallic acid | 170.12 | GLU-97,GLY-126,SER-77 | -4.8 |
表2 化合物没食子酸 、甘草苷及芍药苷与TYR的结合能
Tab.2 Binding energy of gallic acid, paeoniflorin, glycyrrhizic acid, ferulic acid, resveratrol, and quercetin with tyrosinase
| Serial number | Compound | Molecular weight (Da) | Binding site on TYR | Binding energy (kcal/mol) |
|---|---|---|---|---|
| 1 | Glycyrrhizin | 418.4 | ALA-127,MET-129,SER-77, GLN-78 | -8.5 |
| 2 | Paeoniflorin | 480.45 | LYS-35,PHE-93,ARG-90,PRO-91 | -6.6 |
| 3 | Gallic acid | 170.12 | GLU-97,GLY-126,SER-77 | -4.8 |
图1 化合物没食子酸(A)、芍药苷(B)、甘草苷(C)与TYR的分子对接图
Fig.1 Molecular docking diagrams showing binding of gallic acid (A), paeoniflorin (B), and glycyrrhizin (C) with TYR.
| Result | Gallic acid | Glycyrrhizin | Paeoniflorin |
|---|---|---|---|
| Linear regression equation | y=12794x+31480 | y=19188x-22744 | y=8751.8x+15812 |
| Coefficient of linear correlation (R²) | 0.9987 | 0.9957 | 0.9959 |
| Precision RSD value (%) | 1.17 | 0.74 | 0.69% |
| Stability RSD value (%) | 0.99 | 0.24 | 1.05% |
| Repeatability RSD value (%) | 0.77 | 1.33 | 1.40% |
| Average sample recovery rate (%) | 101.6 | 102.4 | 100.9% |
| RSD value for sample recovery (%) | 0.67% | 1.20 | 0.23% |
表3 方法学考察结果
Tab.3 Results of methodological evaluation
| Result | Gallic acid | Glycyrrhizin | Paeoniflorin |
|---|---|---|---|
| Linear regression equation | y=12794x+31480 | y=19188x-22744 | y=8751.8x+15812 |
| Coefficient of linear correlation (R²) | 0.9987 | 0.9957 | 0.9959 |
| Precision RSD value (%) | 1.17 | 0.74 | 0.69% |
| Stability RSD value (%) | 0.99 | 0.24 | 1.05% |
| Repeatability RSD value (%) | 0.77 | 1.33 | 1.40% |
| Average sample recovery rate (%) | 101.6 | 102.4 | 100.9% |
| RSD value for sample recovery (%) | 0.67% | 1.20 | 0.23% |
图2 BST(A)及3种指标成分标准品(B~D)的HPLC图
Fig.2 HPLC chromatograms of Paeonia lactiflora extract (A) and the standard samples of the 3 indicator components (B, C, D). S1: Extract of Paeonia lactiflora extract; S2: Gallic acid; S3: Paeoniflorin; S4: Liquiritin.
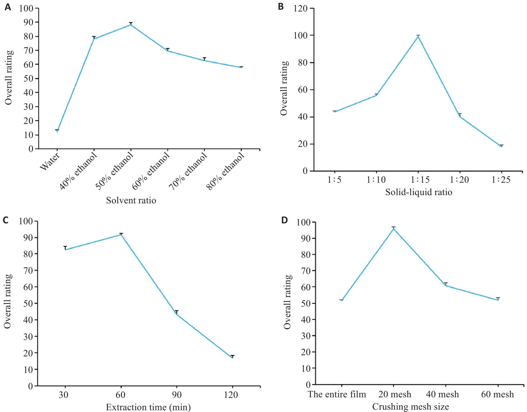
图3 各因素变化对综合评分的影响
Fig.3 Impact of changes in various factors on the comprehensive score. A: Solvent ratio; B: Solid-liquid ratio; C: Extraction time; D: Crushing mesh size.
| Level | Factor | |||
|---|---|---|---|---|
| Solvent ratio (A) | Liquid-to-solid ratio (B) | Extraction time (C) | Crushing mesh size (D) | |
| -1 | 40% | 10 | 0.5 | The entire film |
| 0 | 50% | 15 | 1 | 20 mesh |
| 1 | 60% | 20 | 1.5 | 40 mesh |
表4 因素水平表
Tab.4 Factor level table
| Level | Factor | |||
|---|---|---|---|---|
| Solvent ratio (A) | Liquid-to-solid ratio (B) | Extraction time (C) | Crushing mesh size (D) | |
| -1 | 40% | 10 | 0.5 | The entire film |
| 0 | 50% | 15 | 1 | 20 mesh |
| 1 | 60% | 20 | 1.5 | 40 mesh |
| Number unit | A | B | C | D | Overall rating |
|---|---|---|---|---|---|
| 1 | -1 | -1 | 0 | 0 | 79.4 |
| 2 | 1 | -1 | 0 | 0 | 69.6 |
| 3 | -1 | 1 | 0 | 0 | 56.7 |
| 4 | 1 | 1 | 0 | 0 | 49.7 |
| 5 | 0 | 0 | -1 | -1 | 49.0 |
| 6 | 0 | 0 | 1 | -1 | 9.0 |
| 7 | 0 | 0 | -1 | 1 | 52.0 |
| 8 | 0 | 0 | 1 | 1 | 9.6 |
| 9 | -1 | 0 | 0 | -1 | 54.4 |
| 10 | 1 | 0 | 0 | -1 | 36.8 |
| 11 | -1 | 0 | 0 | 1 | 57.9 |
| 12 | 1 | 0 | 0 | 1 | 50 |
| 13 | 0 | -1 | -1 | 0 | 81.5 |
| 14 | 0 | 1 | -1 | 0 | 58.6 |
| 15 | 0 | -1 | 1 | 0 | 15.3 |
| 16 | 0 | 1 | 1 | 0 | 6.0 |
| 17 | -1 | 0 | -1 | 0 | 77.1 |
| 18 | 1 | 0 | -1 | 0 | 66.6 |
| 19 | -1 | 0 | 1 | 0 | 14.3 |
| 20 | 1 | 0 | 1 | 0 | 12.3 |
| 21 | 0 | -1 | 0 | -1 | 54.4 |
| 22 | 0 | 1 | 0 | -1 | 27.4 |
| 23 | 0 | -1 | 0 | 1 | 58.7 |
| 24 | 0 | 1 | 0 | 1 | 41.9 |
| 25 | 0 | 0 | 0 | 0 | 100.0 |
| 26 | 0 | 0 | 0 | 0 | 100.0 |
| 27 | 0 | 0 | 0 | 0 | 100.0 |
表5 响应面设计方案及结果
Tab.5 Response surface design scheme and results
| Number unit | A | B | C | D | Overall rating |
|---|---|---|---|---|---|
| 1 | -1 | -1 | 0 | 0 | 79.4 |
| 2 | 1 | -1 | 0 | 0 | 69.6 |
| 3 | -1 | 1 | 0 | 0 | 56.7 |
| 4 | 1 | 1 | 0 | 0 | 49.7 |
| 5 | 0 | 0 | -1 | -1 | 49.0 |
| 6 | 0 | 0 | 1 | -1 | 9.0 |
| 7 | 0 | 0 | -1 | 1 | 52.0 |
| 8 | 0 | 0 | 1 | 1 | 9.6 |
| 9 | -1 | 0 | 0 | -1 | 54.4 |
| 10 | 1 | 0 | 0 | -1 | 36.8 |
| 11 | -1 | 0 | 0 | 1 | 57.9 |
| 12 | 1 | 0 | 0 | 1 | 50 |
| 13 | 0 | -1 | -1 | 0 | 81.5 |
| 14 | 0 | 1 | -1 | 0 | 58.6 |
| 15 | 0 | -1 | 1 | 0 | 15.3 |
| 16 | 0 | 1 | 1 | 0 | 6.0 |
| 17 | -1 | 0 | -1 | 0 | 77.1 |
| 18 | 1 | 0 | -1 | 0 | 66.6 |
| 19 | -1 | 0 | 1 | 0 | 14.3 |
| 20 | 1 | 0 | 1 | 0 | 12.3 |
| 21 | 0 | -1 | 0 | -1 | 54.4 |
| 22 | 0 | 1 | 0 | -1 | 27.4 |
| 23 | 0 | -1 | 0 | 1 | 58.7 |
| 24 | 0 | 1 | 0 | 1 | 41.9 |
| 25 | 0 | 0 | 0 | 0 | 100.0 |
| 26 | 0 | 0 | 0 | 0 | 100.0 |
| 27 | 0 | 0 | 0 | 0 | 100.0 |
| Sources of variance | Sum of squares | Degree of freedom | Mean square | F | P |
|---|---|---|---|---|---|
| Model | 20577.88 | 14 | 1469.85 | 55.26 | <0.0001 |
| A | 250.25 | 1 | 250.25 | 9.41 | 0.0098 |
| B | 1172.16 | 1 | 1172.16 | 44.06 | <0.0001 |
| C | 8442.91 | 1 | 8442.91 | 317.39 | <0.0001 |
| D | 127.4 | 1 | 127.4 | 4.79 | 0.0491 |
| AB | 1.96 | 1 | 1.96 | 0.0737 | 0.7907 |
| AC | 18.06 | 1 | 18.06 | 0.679 | 0.426 |
| AD | 23.52 | 1 | 23.52 | 0.8843 | 0.3656 |
| BC | 46.24 | 1 | 46.24 | 1.74 | 0.212 |
| BD | 26.01 | 1 | 26.01 | 0.9778 | 0.3423 |
| CD | 1.44 | 1 | 1.44 | 0.0541 | 0.8199 |
| A² | 1585.47 | 1 | 1585.47 | 59.6 | <0.0001 |
| B² | 2228.6 | 1 | 2228.6 | 83.78 | <0.0001 |
| C² | 8082.56 | 1 | 8082.56 | 303.85 | <0.0001 |
| D² | 5704.33 | 1 | 5704.33 | 214.44 | <0.0001 |
| Residual | 319.21 | 12 | 26.6 | ||
| Missing item | 319.21 | 10 | 31.92 | ||
| Pure error | 0 | 2 | 0 | ||
| Total deviation | 20897.09 | 26 |
表6 响应面方差分析
Tab.6 Response surface analysis of variance
| Sources of variance | Sum of squares | Degree of freedom | Mean square | F | P |
|---|---|---|---|---|---|
| Model | 20577.88 | 14 | 1469.85 | 55.26 | <0.0001 |
| A | 250.25 | 1 | 250.25 | 9.41 | 0.0098 |
| B | 1172.16 | 1 | 1172.16 | 44.06 | <0.0001 |
| C | 8442.91 | 1 | 8442.91 | 317.39 | <0.0001 |
| D | 127.4 | 1 | 127.4 | 4.79 | 0.0491 |
| AB | 1.96 | 1 | 1.96 | 0.0737 | 0.7907 |
| AC | 18.06 | 1 | 18.06 | 0.679 | 0.426 |
| AD | 23.52 | 1 | 23.52 | 0.8843 | 0.3656 |
| BC | 46.24 | 1 | 46.24 | 1.74 | 0.212 |
| BD | 26.01 | 1 | 26.01 | 0.9778 | 0.3423 |
| CD | 1.44 | 1 | 1.44 | 0.0541 | 0.8199 |
| A² | 1585.47 | 1 | 1585.47 | 59.6 | <0.0001 |
| B² | 2228.6 | 1 | 2228.6 | 83.78 | <0.0001 |
| C² | 8082.56 | 1 | 8082.56 | 303.85 | <0.0001 |
| D² | 5704.33 | 1 | 5704.33 | 214.44 | <0.0001 |
| Residual | 319.21 | 12 | 26.6 | ||
| Missing item | 319.21 | 10 | 31.92 | ||
| Pure error | 0 | 2 | 0 | ||
| Total deviation | 20897.09 | 26 |
图6 优化BST提取方案的自由基清除能力比较
Fig.6 Free radical scavenging capacity of BST obtained using optimized extraction protocol. (A) Scavenging capacity for DPPH free radicals. (B) Scavenging capacity for hydroxyl free radicals.
图7 BST对B16细胞黑色素的影响
Fig.7 Effect of BST on melanin quantity in B16 cells (Scale bar=200 μm). A: Blank group cells; B: Model group cells; C: Cells in 50 μg/mL BST.
图8 BST对B16细胞黑色素-酪氨酸酶荧光染色结果
Fig.8 Fluorescent staining rfor melanin-tyrosinase in B16 cells (Scale bar=200 μm). A: Blank group cells; B: Model group cells; C: Cells in 50 μg/mL BST.
图9 传统水煎BST提取物与优化提取物对α-MSH刺激黑色素细胞作用的比较
Fig.9 Comparison of the effects of traditional water-decocted BST extract and the optimized extract on α‑MSH-stimulated melanocytes. A: Inhibition rate of TYR. B: Cell viability. **P<0.01.
| [1] | 康 乐, 黎锦帮, 田 硕, 等. 中药养颜学的内涵与外延[J]. 时珍国医国药, 2024, 35(13): 3026-9. |
| [2] | 鄢 贵, 龚普阳, 张复中, 等. 基于CiteSpace和VOSviewer的白芍研究现状及研究热点可视化分析[J]. 中草药, 2024, 55(11): 3805-15. |
| [3] | 刁家鑫, 郑琪潼, 陈孟尧, 等. 白芍中鞣酸类成分的药理作用及作用机制[J]. 中国中药杂志, 2025, 50(6): 1471-83. |
| [4] | 张 艳, 孙菡阳, 廖小婷, 等. 甘草苷调节丙酮酸激酶M2改善过氧化氢诱导的人脐静脉内皮细胞功能障碍[J]. 微循环学杂志, 2024, 34(4): 19-23, 31. |
| [5] | 刘湘花, 李 姗, 赵方言, 等. 基于网络药理学、分子对接及实验验证探讨芍药苷治疗非酒精性脂肪肝病抗炎作用机制[J]. 天然产物研究与开发, 2025, 37(2): 337-45. |
| [6] | 汪 婕. 银杏叶中抑制黑色素合成活性成分及其部分抑制机制的研究[D]. 成都: 西南交通大学, 2023. |
| [7] | 彭海月, 汪 婷, 李国瑞, 等. 黑色素的合成及小分子对其功能的调控[J]. 高等学校化学学报, 2021, 42(11): 3357-66. |
| [8] | 付文才. 基于抗氧化剂清除活性氧自由基的生物体黑色素抑制机制研究[D]. 广州: 广州大学, 2022. |
| [9] | Cannizzo ES, Clement CC, Sahu R, et al. Oxidative stress, inflamm-aging and immunosenescence[J]. J Proteomics, 2011, 74(11): 2313-23. doi:10.1016/j.jprot.2011.06.005 |
| [10] | 崔 虹, 朱佳茜, 冯秋芳, 等. 中药白芍化学成分及生物活性研究进展[J]. 海峡药学, 2017, 29(9): 1-5. |
| [11] | 唐子溦, 王 艳, 叶小花, 等. “四白” 中药复方醇提液的安全性及护肤作用研究[J]. 中药新药与临床药理, 2023, 34(9): 1219-26. |
| [12] | 杨林芳, 赵肖灵, 江世宾, 等. 白芍总苷对H2O2诱导下黑色素细胞的保护及作用机制[J]. 天津师范大学学报: 自然科学版, 2024, 44(5): 30-5. |
| [13] | 刘 芬, 詹文红. 白芍总苷体外抗氧化活性研究[J]. 现代药物与临床, 2015, 30(2): 132-5. |
| [14] | 原梦瑶, 康淑荷, 崔璐娟, 等. 红芪多糖超声提取工艺优化及抗氧化、美白和吸湿保湿活性[J]. 精细化工, 2025, 42(3): 577-86. |
| [15] | 肖垚垚, 王 贝, 沈 宇, 等.经典美白复方“白芍提取物”质量标志物的预测分析[J]. 中国现代中药, 2023, 2: 447-54. |
| [16] | 王逸飞, 朱振宇, 吴志生, 等. QbD理念的中药缓控释制剂的设计与研发研究[J]. 中国中药杂志, 2019, 44(20): 4317-21. |
| [17] | 国家药典委员会. 中华人民共和国药典-一部: 2020年版[M]. 北京: 中国医药科技出版社, 2020. |
| [18] | 张喜利, 梁慧慧, 刘文龙. 新伤湿敷液醇提工艺优化[J]. 中成药, 2023, 45(12): 4071-5. |
| [19] | 栗焕焕, 毛营营, 张国琴, 等. 响应面分析法优化吴茱萸提取工艺及多指标定量指纹图谱研究[J]. 中华中医药杂志, 2020, 35(11): 5716-20. |
| [20] | 刘龙云, 王晓权, 孙 松, 等. Box-Behnken响应面法结合熵权法优化三黄洗剂提取工艺[J]. 长春师范大学学报, 2023(12): 76-86. |
| [21] | Sun SQ, Wang YJ, Xu W, et al. Optimizing ultrasound-assisted extraction of prodigiosin by response surface methodology[J]. Prep Biochem Biotechnol, 2015, 45(2): 101-8. doi:10.1080/10826068.2013.877029 |
| [22] | 张亚梅, 韩鸿萍, 宋道光. 响应面法优化暗紫贝母流浸膏提取工艺及其质量评价[J]. 天然产物研究与开发, 2024, 36(9): 1554-63. |
| [23] | 苏琪辉, 王 婧, 雒荣荣, 等. 基于代谢组学与网络药理学研究四黑方对斑马鱼黑色素的作用机制[J]. 中国临床药理学与治疗学, 2024, 29(9): 988-1001. |
| [24] | 贾俊芳, 孟德新, 李淑霞, 等. 古方三白汤不同溶剂提取物美白作用比较研究[J]. 2022(11): 234-6. |
| [25] | 马梓育, 陆 洋. 基于网络药理学与细胞实验的三白汤治疗皮肤色素沉着机制探究与初证[J]. 世界科学技术-中医药现代化, 2021, 23(7): 2153-69. |
| [26] | 方婧杰, 陈 建, 陈雅娟, 等. 曲酸提取工艺优化及其对酪氨酸酶抑制作用的分子机制[J]. 食品与机械, 2023, 39(12): 9-17. |
| [27] | Qu YW, Zhan Q, Du SB, et al. Catalysis-based specific detection and inhibition of tyrosinase and their application[J]. J Pharm Anal, 2020, 10(5): 414-25. doi:10.1016/j.jpha.2020.07.004 |
| [28] | Qian WH, Liu WY, Zhu D, et al. Natural skin-whitening compounds for the treatment of melanogenesis (Review)[J]. Exp Ther Med, 2020, 20(1): 173-85. doi:10.3892/etm.2020.8687 |
| [29] | 马馨桐. 桔梗美白活性物质研究[D]. 长春: 长春中医药大学, 2021. |
| [30] | 耿 莉, 张守亮, 王杰琼, 等. 中医药治疗皮肤色素沉着的研究进展[J]. 时珍国医国药, 2023, 34(7): 1711-4. |
| [31] | Zaid AN, Al Ramahi R. Depigmentation and anti-aging treatment by natural molecules[J]. Curr Pharm Des, 2019, 25(20): 2292-312. doi:10.2174/1381612825666190703153730 |
| [32] | 朱芷葳, 蓝吴涛, 马悦悦, 等. 大蒜素对小鼠黑色素瘤B16F10细胞体外增殖和迁移能力的影响[J]. 畜牧兽医学报, 2021, 52(3): 831-8. |
| [33] | 夏 颖, 殷志爽, 石 晨, 等. 白芍提取物及其有效成分抗氧化活性的研究[J]. 首都医科大学学报, 2013, 34(1): 120-5. |
| [34] | 秦亚东, 周娟娟, 汪荣斌. 白芍多糖抑制酪氨酸酶活性成分的筛选[J]. 中成药, 2018, 40(12): 2755-8. |
| [35] | 张建国, 马宁珠, 王振霖, 等. 白术与白芍美白面膜的制备及美白作用初步研究[J]. 中国美容医学, 2023, 32(7): 69-74. |
| [1] | 张洁, 姚君妍, 杨英桂, 王飞, 郑清友, 李欣, 柳长柏. hPP10-Cu,Zn-SOD融合蛋白的制备、穿膜效应及其抗氧化、抗炎症功效[J]. 南方医科大学学报, 2024, 44(6): 1059-1069. |
| [2] | 王 琼, 许凤清, 邓梦云, 任梦婷, 王桐生, 吴德玲. 芡实壳提取物的抗氧化活性及对口腔溃疡模型大鼠的治疗作用[J]. 南方医科大学学报, 2024, 44(4): 787-794. |
| [3] | 吴广阳, 宋添力, 唐 浪, 王一民, 刘 绪, 黄 胜. 竹节参总皂苷缓解CCl4诱导的大鼠急性肝损伤:基于调控PI3K/Akt/NF-κB信号通路[J]. 南方医科大学学报, 2024, 44(2): 244-251. |
| [4] | 孙明雪, 邹纯才, 鄢海燕. 瓜蒌提取物抗氧化药效成分群的筛选与验证[J]. 南方医科大学学报, 2022, 42(3): 384-391. |
| [5] | 赫小乔, 孙志远, 马凯元, 梅英武. 1-脱氧野尻霉素减轻2型糖尿病小鼠的肝纤维化[J]. 南方医科大学学报, 2021, 41(9): 1342-1349. |
| [6] | 李 璋, 许 晅, 孟 迎, 马群飞, Huma Farooque Hashmi, 张鹏英, 陈靠山. 不同相对分子质量的黑根霉胞外多糖的生物活性[J]. 南方医科大学学报, 2021, 41(10): 1540-1546. |
| [7] | 叶双燕,曾思思,黄梦秋,陈建萍,陈曦,许鹏飞,王千里,高雯雯,杨炳生,郝冰涛,黄文华,刘求真. 化疗保护剂tempol既降低顺铂的毒性又减弱顺铂的抗肿瘤效果[J]. 南方医科大学学报, 2019, 39(08): 883-. |
| [8] | 王虎清,樊嘉欣,陈婉莹,高震,张桂莲,吴海琴,俞小瑞. PPARγ通路激活可增强细胞抗氧化能力和保护长程培养原代神经细胞[J]. 南方医科大学学报, 2019, 39(01): 23-. |
| [9] | 周玉燕,孙玉,李萍,秦国正,程倩,刘宇,陈滢俐,王国栋. 莫诺苷通过抗氧化应激保护雷公藤甲素所致肝细胞凋亡[J]. 南方医科大学学报, 2018, 38(08): 949-. |
| [10] | 张万松,杨诚,郭文彬,郭晓彬,卞军,周其赵,陈明坤,周俊豪,陈子坚,王鹏,吕娴媛,肖卓裕,刘存东. BMSCs来源的外泌体对大鼠睾丸缺血再灌注损伤的保护作用[J]. 南方医科大学学报, 2018, 38(08): 910-. |
| [11] | 周雪娟,夏颖,赵岩岩,古文清,肖潇,白晓春,刘俊,李明. 雌二醇显著上调骨质疏松大鼠成骨细胞内抗氧化酶的表达[J]. 南方医科大学学报, 2018, 38(04): 402-. |
| [12] | 吴晓芳,王丽云,易建华,雷剑,奥宇宏,李建军,韩晶. 芍药苷对PM2.5诱导BEAS-2B细胞损害的保护作用[J]. 南方医科大学学报, 2018, 38(02): 168-. |
| [13] | 周溦,林敬明,王素丽,林海桢. 半枝莲总黄酮对延缓秀丽隐杆线虫和人脐静脉内皮细胞衰老的影响[J]. 南方医科大学学报, 2017, 37(06): 821-. |
| [14] | 涂铵素,钟影,毛熙光. 多囊卵巢综合征合并不孕症患者血清TOS,TAS水平变化及其与血浆载脂蛋白(a)的关系[J]. 南方医科大学学报, 2016, 36(03): 405-. |
| [15] | 曾明曦,王一平,伍丽萍. 抗氧化剂治疗非酒精性脂肪性肝病的系统评价[J]. 南方医科大学学报, 2012, 32(05): 695-. |
| 阅读次数 | ||||||
|
全文 |
|
|||||
|
摘要 |
|
|||||