南方医科大学学报 ›› 2025, Vol. 45 ›› Issue (10): 2171-2181.doi: 10.12122/j.issn.1673-4254.2025.10.13
• • 上一篇
邓颖(
), 张敏怡, 汪诗奥, 范顺昌, 陈佳琪, 冼举贤, 陈清(
)
收稿日期:2025-07-04
出版日期:2025-10-20
发布日期:2025-10-24
通讯作者:
陈清
E-mail:rebeccatung@163.com;qch2009@163.com
作者简介:邓 颖,在读硕士研究生,E-mail: rebeccatung@163.com
基金资助:
Ying DENG(
), Minyi ZHANG, Shiao WANG, Shunchang FAN, Jiaqi CHEN, Juxian XIAN, Qing CHEN(
)
Received:2025-07-04
Online:2025-10-20
Published:2025-10-24
Contact:
Qing CHEN
E-mail:rebeccatung@163.com;qch2009@163.com
Supported by:摘要:
目的 系统分析全球5岁以下儿童腹泻疾病负担情况。 方法 本研究基于全球疾病负担(GBD 2021)研究数据,采用Joinpoint回归模型评估1990~2021年各国家(地区)和GBD区域5岁以下儿童腹泻的发病率与死亡率(/10万)及其年均变化百分比(AAPC)。同时,通过平滑曲线回归分析腹泻负担与社会人口指数(SDI)之间的相关性,并对特定腹泻病原体所致的疾病负担进行分析。利用斜率指数和集中指数衡量不同SDI水平人群间的差异,采用贝叶斯年龄-时期-队列模型(BAPC)预测未来趋势。 结果 1990~2021年,全球腹泻发病率(AAPC=-3.65)和死亡率(AAPC=-5.15)持续下降。2021 年发病率和死亡率最高的年龄组为新生儿(<28 d),发病率为138 058.74/10万,死亡率为 251.14/10万。轮状病毒是腹泻相关死亡的首位病原体。相关性分析与斜率指数结果显示,SDI与发病率之间存在显著负相关关系。集中指数从1990年的-0.293下降至2021年的-0.314。性别差异无统计学意义。BAPC模型预测显示,2022~2050 年腹泻发病率将持续下降,至2050年男性和女性预计分别为23 448.04/10万和29 932.59/10万。 结论 尽管全球腹泻疾病负担持续下降,未来趋势亦显示将进一步下降,但其在新生儿及低 SDI 地区仍造成较大影响。轮状病毒仍为全球腹泻死亡的主要病原体,不同国家(地区)和GBD区域的主要病原体存在差异。应加强对易感人群的针对性干预措施,以进一步减轻腹泻相关疾病负担。
邓颖, 张敏怡, 汪诗奥, 范顺昌, 陈佳琪, 冼举贤, 陈清. 1990~2021年全球5岁以下腹泻患儿的疾病负担分析及趋势预测[J]. 南方医科大学学报, 2025, 45(10): 2171-2181.
Ying DENG, Minyi ZHANG, Shiao WANG, Shunchang FAN, Jiaqi CHEN, Juxian XIAN, Qing CHEN. Global burden and predicted trends of diarrheal disease in children under five from 1990 to 2021[J]. Journal of Southern Medical University, 2025, 45(10): 2171-2181.
图1 1990~2021年全球5岁以下儿童腹泻病的Joinpoint回归分析
Fig.1 Joinpoint regression analysis of the incidence (A) and mortality (B) rates of diarrheal diseases in Children under 5 globally from 1990 to 2021. AAPC: Average annual percentage change. The joinpoints are labeled, and the corresponding annual percent change (APC) and P values (P<0.001 indicates a statistically significant difference) are shown in the legend. Different colors represent different segments.
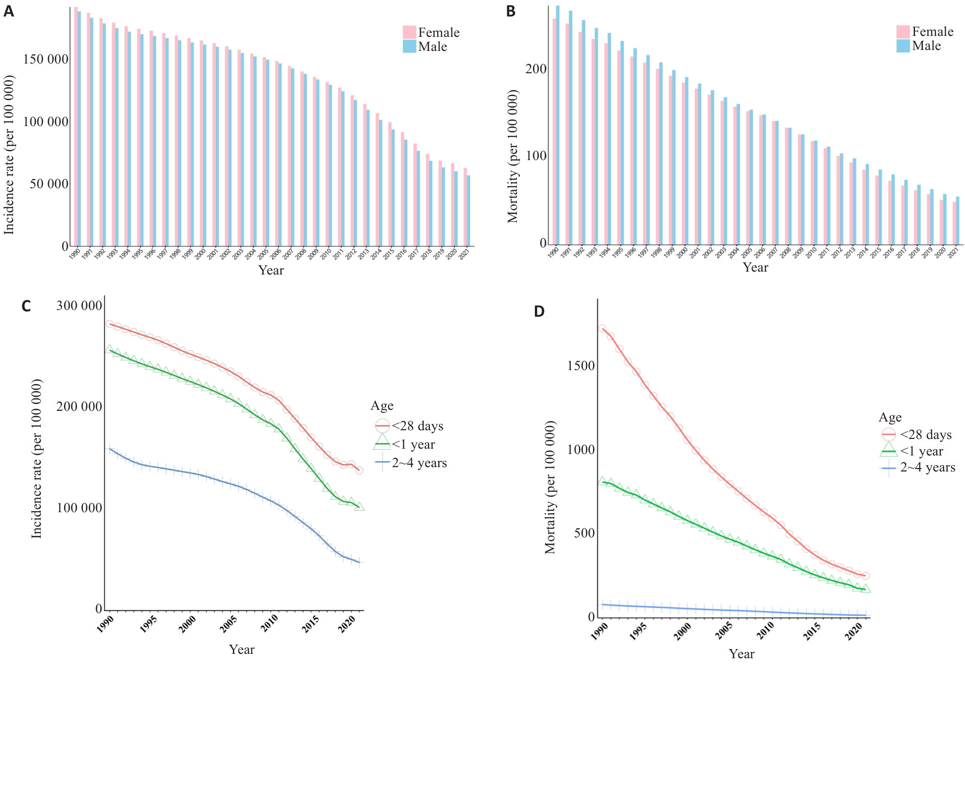
图2 1990~2021 年全球 5 岁以下儿童腹泻疾病负担的性别和年龄差异
Fig.2 Gender and age-specific burden of diarrheal diseases among children under 5 years globally in 1990-2021 (per 100 000). A, B: Bar charts showing the incidence rate and mortality rate of diarrheal diseases among children under 5 years stratified by sex from 1990 to 2021. C, D: Line charts showing the incidence rate and mortality rate of diarrheal diseases among children under 5 years stratified by age, from 1990 to 2021.
图3 2021年全球21个GBD区域5岁以下儿童腹泻疾病的发病率和死亡率及1990~2021年间其在全球GBD地区的变化趋势及与社会人口学指数(SDI)的相关性
Fig.3 Incidence and mortality rates (per 100 000) of diarrheal diseases among children under 5 in 21 GBD regions in 2021 and the trends and their correlation with the socio-demographic index (SDI) across GBD regions worldwide from 1990 to 2021. A: Trends of the incidence rates and SDI. B: Trends of the mortality rates and SDI by GBD regions. The black line represents the expected rate based solely on SDI.
图4 1990~2021年全球5岁以下儿童腹泻疾病的不同病原体致死率(每100 000人)差异
Fig.4 Mortality rates of diarrheal diseases caused by different pathogens among children under 5 years globally in 1990-2021 (per 100 000). A: Trends in diarrhoeal mortality rate by pathogen in children under 5 regionally in 1990-2021. B: Pathogen attributed death proportion of diarrhea in children of different age groups in 1990 to 2021. C: Distribution of diarrhoeal mortality by pathogen in children under 5 globally from 1990 to 2021.
| Global | Mortality rate, 1990 (per 100 000) | Mortality rate, 2021 (per 100 000) | AAPC, 1990-2021 (95% CI) |
|---|---|---|---|
| Adenovirus | 56.78 (32.70 to 90.28) | 12.32 (6.82 to 20.21) | -4.82 (-4.99 to -4.65) |
| Aeromonas | 8.31 (3.62 to 15.15) | 1.63 (0.73 to 3.07) | -5.17 (-5.27 to -5.07) |
| Campylobacter | 22.98 (10.17 to 42.40) | 3.84 (1.56 to 7.41) | -5.63 (-5.77 to -5.49) |
| Cholera | 17.76 (14.75 to 21.43) | 3.92 (2.81 to 5.31) | -4.83 (-5.12 to -4.53) |
| Clostridium difficile | 0.02 (0.01 to 0.03) | 0.02 (0.01 to 0.03) | -0.01 (-0.22 to 0.19) |
| Cryptosporidium | 38.32 (23.65 to 59.95) | 10.4 (5.91 to 16.65) | -4.2 (-4.34 to -4.07) |
| Enterotoxigenic E coli | 29.72 (17.32 to 47.09) | 6.96 (3.83 to 11.72) | -4.62 (-4.73 to -4.52) |
| Enteropathogenic E coli | 26.83 (15.46 to 42.14) | 7.04 (3.95 to 11.59) | -4.31 (-4.39 to -4.23) |
| Entamoeba | 12.28 (5.88 to 23.03) | 2.44 (1.07 to 4.91) | -5.11 (-5.28 to -4.95) |
| Non-typhoidal salmonella | 8.16 (1.20 to 17.77) | 1.8 (0.24 to 4.17) | -4.8 (-5.12 to -4.48) |
| Norovirus | 22.35 (7.64 to 40.06) | 4.49 (1.47 to 8.36) | -5.09 (-5.24 to -4.94) |
| Rotavirus | 100.31 (74.21 to 127.24) | 18.21 (12.63 to 25.74) | -5.41 (-5.51 to -5.31) |
| Shigella | 48.35 (29.24 to 78.08) | 12.42 (7.28 to 20.96) | -4.34 (-4.51 to -4.18) |
表2 按不同病原体分列的全球5岁以下儿童腹泻病死亡率和平均年度变化百分比(AAPC)
Tab.2 Mortality rate and average annual percentage changes (AAPC) of diarrheal disease in children under 5 years stratified by different pathogens worldwide
| Global | Mortality rate, 1990 (per 100 000) | Mortality rate, 2021 (per 100 000) | AAPC, 1990-2021 (95% CI) |
|---|---|---|---|
| Adenovirus | 56.78 (32.70 to 90.28) | 12.32 (6.82 to 20.21) | -4.82 (-4.99 to -4.65) |
| Aeromonas | 8.31 (3.62 to 15.15) | 1.63 (0.73 to 3.07) | -5.17 (-5.27 to -5.07) |
| Campylobacter | 22.98 (10.17 to 42.40) | 3.84 (1.56 to 7.41) | -5.63 (-5.77 to -5.49) |
| Cholera | 17.76 (14.75 to 21.43) | 3.92 (2.81 to 5.31) | -4.83 (-5.12 to -4.53) |
| Clostridium difficile | 0.02 (0.01 to 0.03) | 0.02 (0.01 to 0.03) | -0.01 (-0.22 to 0.19) |
| Cryptosporidium | 38.32 (23.65 to 59.95) | 10.4 (5.91 to 16.65) | -4.2 (-4.34 to -4.07) |
| Enterotoxigenic E coli | 29.72 (17.32 to 47.09) | 6.96 (3.83 to 11.72) | -4.62 (-4.73 to -4.52) |
| Enteropathogenic E coli | 26.83 (15.46 to 42.14) | 7.04 (3.95 to 11.59) | -4.31 (-4.39 to -4.23) |
| Entamoeba | 12.28 (5.88 to 23.03) | 2.44 (1.07 to 4.91) | -5.11 (-5.28 to -4.95) |
| Non-typhoidal salmonella | 8.16 (1.20 to 17.77) | 1.8 (0.24 to 4.17) | -4.8 (-5.12 to -4.48) |
| Norovirus | 22.35 (7.64 to 40.06) | 4.49 (1.47 to 8.36) | -5.09 (-5.24 to -4.94) |
| Rotavirus | 100.31 (74.21 to 127.24) | 18.21 (12.63 to 25.74) | -5.41 (-5.51 to -5.31) |
| Shigella | 48.35 (29.24 to 78.08) | 12.42 (7.28 to 20.96) | -4.34 (-4.51 to -4.18) |
图5 2021年全球5岁以下儿童腹泻死亡病因GBD区域差异
Fig.5 Causes of diarrheal deaths in children under 5 across GBD regions in 2021. A: Etiology of diarrheal deaths ranked by mortality rate globally (by SDI in 2021). B: Etiology of diarrheal deaths ranked by mortality rate globally (by GBD regions in 2021). The numbers represent the rank of diarrheal mortality rates among children under 5 for the corresponding GBD regions and pathogen. A smaller number indicates a higher mortality rate.
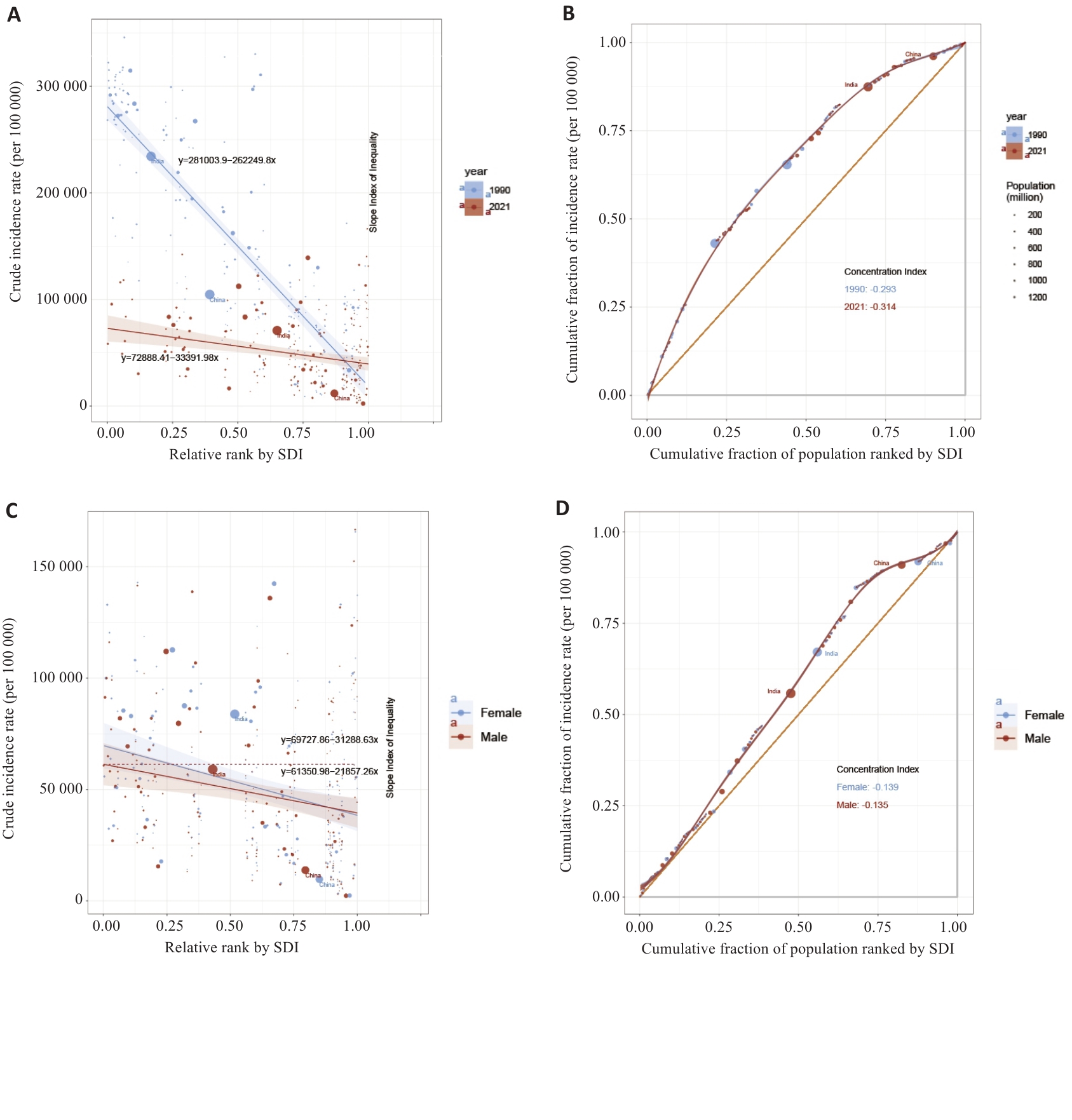
图6 全球5岁以下儿童腹泻疾病不平等分析
Fig.6 Global inequality analysis for diarrheal diseases in children under 5 years. A: Inequality regression curve between 1999 and 2021. B: Concentration curve between 1999 and 2021. C: Inequality regression curve between male and female. D: Concentration curve between male and female.
图7 基于BAPC模型对2022~2050年全球5岁以下儿童腹泻发病率的预测
Fig.7 Predicted global incidence rate of diarrheal diseases among female (A) and male (B) children under 5 years from 2022 to 2050 based on the BAPC model (per 100 000). The black line represents the predicted mean incidence rate, and the gradient area is its 95% confidence interval.
| [1] | GBD 2016 Diarrhoeal Disease Collaborators. Estimates of the global, regional, and national morbidity, mortality, and aetiologies of diarrhoea in 195 countries: a systematic analysis for the Global Burden of Disease Study 2016[J]. Lancet Infect Dis, 2018, 18(11): 1211-28. |
| [2] | Behera DK, Mishra S. The burden of diarrhea, etiologies, and risk factors in India from 1990 to 2019: evidence from the global burden of disease study[J]. BMC Public Health, 2022, 22(1): 92. doi:10.1186/s12889-022-12515-3 |
| [3] | Chowdhury F, Ross AG, Islam MT, et al. Diagnosis, management, and future control of cholera[J]. Clin Microbiol Rev, 2022, 35(3): e0021121. doi:10.1128/cmr.00211-21 |
| [4] | Khalil I, Colombara DV, Forouzanfar MH, et al. Burden of diarrhea in the eastern Mediterranean Region, 1990-2013: findings from the global burden of disease study 2013[J]. Am J Trop Med Hyg, 2016, 95(6): 1319-29. |
| [5] | Atherly DE, Lewis KDC, Tate J, et al. Projected health and economic impact of rotavirus vaccination in GAVI-eligible countries: 2011-2030[J]. Vaccine, 2012, 30(): A7-14. doi:10.1016/j.vaccine.2011.12.096 |
| [6] | Black RE. Progress in the use of ORS and zinc for the treatment of childhood diarrhea[J]. J Glob Health, 2019, 9(1): 010101. doi:10.7189/jogh.09.010101 |
| [7] | Munos MK, Walker CL, Black RE. The effect of oral rehydration solution and recommended home fluids on diarrhoea mortality[J]. Int J Epidemiol, 2010, 39(): i75-87. doi:10.1093/ije/dyq025 |
| [8] | Nonvignon J, Atherly D, Pecenka C, et al. Cost-effectiveness of rotavirus vaccination in Ghana: examining impacts from 2012 to 2031[J]. Vaccine, 2018, 36(47): 7215-21. doi:10.1016/j.vaccine.2017.11.080 |
| [9] | Kotloff KL, Nataro JP, Blackwelder WC, et al. Burden and aetiology of diarrhoeal disease in infants and young children in developing countries (the Global Enteric Multicenter Study, GEMS): a prospective, case-control study[J]. Lancet, 2013, 382(9888): 209-22. |
| [10] | Lawn JE, Wilczynska-Ketende K, Cousens SN. Estimating the causes of 4 million neonatal deaths in the year 2000[J]. Int J Epidemiol, 2006, 35(3): 706-18. doi:10.1093/ije/dyl043 |
| [11] | Black RE, Perin J, Yeung D, et al. Estimated global and regional causes of deaths from diarrhoea in children younger than 5 years during 2000-21: a systematic review and Bayesian multinomial analysis[J]. Lancet Glob Health, 2024, 12(6): e919-28. doi:10.1016/s2214-109x(24)00078-0 |
| [12] | Heine L, Alfinete NW, Potgieter N, et al. Multi- and extensively drug resistant Escherichia coli isolated from South African children under 5 years old with diarrhoea[J]. Diagn Microbiol Infect Dis, 2024, 109(2): 116279. doi:10.1016/j.diagmicrobio.2024.116279 |
| [13] | Shumetie G, Gedefaw M, Kebede A, et al. Exclusive breastfeeding and rotavirus vaccination are associated with decreased diarrheal morbidity among under-five children in Bahir Dar, northwest Ethiopia[J]. Public Health Rev, 2018, 39: 28. doi:10.1186/s40985-018-0107-6 |
| [14] | Collinson S, Deans A, Padua-Zamora A, et al. Probiotics for treating acute infectious diarrhoea[J]. Cochrane Database Syst Rev, 2020, 12(12): CD003048. doi:10.1002/14651858.cd003048.pub4 |
| [15] | Feleke Y, Legesse A, Abebe M. Prevalence of diarrhea, feeding practice, and associated factors among children under five years in bereh district, Oromia, ethiopia [J]. Infect Dis Obstet Gynecol, 2022, 2022: 4139648. doi:10.1155/2022/4139648 |
| [16] | Girma M, Gobena T, Medhin G, et al. Determinants of childhood diarrhea in west gojjam, northwest Ethiopia: a case control study[J]. Pan Afr Med J, 2018, 30: 234. |
| [17] | Hailu B, Wu JG, Hailu T. Water, sanitation, and hygiene risk factors on the prevalence of diarrhea among under-five children in the rural community of dangila district, northwest Ethiopia[J]. J Trop Med, 2021, 2021: 2688500. doi:10.1155/2021/2688500 |
| [18] | Natnael T, Lingerew M, Adane M. Prevalence of acute diarrhea and associated factors among children under five in semi-urban areas of northeastern Ethiopia[J]. BMC Pediatr, 2021, 21(1): 290. doi:10.1186/s12887-021-02762-5 |
| [19] | GBD Diarrhoeal Diseases Collaborators. Estimates of global, regional, and national morbidity, mortality, and aetiologies of diarrhoeal diseases: a systematic analysis for the Global Burden of Disease Study 2015[J]. Lancet Infect Dis, 2017, 17(9): 909-48. |
| [20] | Ugboko HU, Nwinyi OC, Oranusi SU, et al. Childhood diarrhoeal diseases in developing countries[J]. Heliyon, 2020, 6(4): e03690. doi:10.1016/j.heliyon.2020.e03690 |
| [21] | Simen-Kapeu A, Bogler L, Weber AC, et al. Prevalence of diarrhoea, acute respiratory infections, and malaria over time (1995-2017): a regional analysis of 23 countries in West and Central Africa[J]. J Glob Health, 2021, 11: 13008. doi:10.7189/jogh.11.13008 |
| [22] | Florez ID, Niño-Serna LF, Beltrán-Arroyave CP. Acute infectious diarrhea and gastroenteritis in children[J]. Curr Infect Dis Rep, 2020, 22(2): 4. doi:10.1007/s11908-020-0713-6 |
| [23] | Poly F, Noll AJ, Riddle MS, et al. Update on Campylobacter vaccine development[J]. Hum Vaccin Immunother, 2019, 15(6): 1389-400. doi:10.1080/21645515.2018.1528410 |
| [24] | Hartman RM, Cohen AL, Antoni S, et al. Risk factors for mortality among children younger than age 5 years with severe diarrhea in low- and middle-income countries: findings from the World Health Organization-coordinated global rotavirus and pediatric diarrhea surveillance networks[J]. Clin Infect Dis, 2023, 76(3): e1047-53. doi:10.1093/cid/ciac865 |
| [25] | Atchison CJ, Tam CC, Hajat S, et al. Temperature-dependent transmission of rotavirus in Great Britain and the Netherlands[J]. Proc Biol Sci, 2010, 277(1683): 933-42. doi:10.1098/rspb.2009.1755 |
| [26] | Lopez AL, Dutta S, Qadri F, et al. Cholera in selected countries in Asia[J]. Vaccine, 2020, 38(): A18-24. doi:10.1016/j.vaccine.2019.07.035 |
| [27] | Smits SL, Schapendonk CME, van Beek J, et al. New viruses in idiopathic human diarrhea cases, the Netherlands[J]. Emerg Infect Dis, 2014, 20(7): 1218-22. doi:10.3201/eid2007.140190 |
| [28] | Alkaissy Y, Serre-Delcor N, Vicente MA, et al. Trends in imported infections among migrants and travellers to Spain: a decade of analysis through the +Redivi network (2012-2022)[J]. J Travel Med, 2024, 31(6): taae067. doi:10.1093/jtm/taae067 |
| [29] | van Dongen JAP, Rouers EDM, Schuurman R, et al. Acute gastroenteritis disease burden in infants with medical risk conditions in the Netherlands[J]. Pediatr Infect Dis J, 2021, 40(4): 300-5. doi:10.1097/inf.0000000000003002 |
| [30] | Antoni S, Nakamura T, Cohen AL, et al. Rotavirus genotypes in children under five years hospitalized with diarrhea in low and middle-income countries: Results from the WHO-coordinated Global Rotavirus Surveillance Network[J]. PLoS Glob Public Health, 2023, 3(11): e0001358. doi:10.1371/journal.pgph.0001358 |
| [31] | Ardura-Garcia C, Kreis C, Rakic M, et al. Rotavirus disease and health care utilisation among children under 5 years of age in highly developed countries: a systematic review and meta-analysis[J]. Vaccine, 2021, 39(22): 2917-28. doi:10.1016/j.vaccine.2021.04.039 |
| [32] | Hallowell BD, Tate J, Parashar U. An overview of rotavirus vaccination programs in developing countries[J]. Expert Rev Vaccines, 2020, 19(6): 529-37. doi:10.1080/14760584.2020.1775079 |
| [33] | Lee B, Damon CF, Platts-Mills JA. Pediatric acute gastroenteritis associated with adenovirus 40/41 in low-income and middle-income countries[J]. Curr Opin Infect Dis, 2020, 33(5): 398-403. doi:10.1097/qco.0000000000000663 |
| [34] | Ahmed AK, Sijercic VC, Akhtar MS, et al. Cholera Rages in Africa and the middle east: a narrative review on challenges and solutions[J]. Health Sci Rep, 2024, 7(5): e2013. doi:10.1002/hsr2.2013 |
| [35] | Chavda VP, Vuppu S, Mishra T, et al. Combatting infectious diarrhea: innovations in treatment and vaccination strategies[J]. Expert Rev Vaccines, 2024, 23(1): 246-65. doi:10.1080/14760584.2023.2295015 |
| [1] | 刘倚彤, 赵克, 王晓东. 1990~2035年东亚地区唇与口腔癌的疾病负担分析及未来预测[J]. 南方医科大学学报, 2025, 45(7): 1554-1562. |
| [2] | 张佳豪, 杨若男, 贺舒凝, 袁 萍. 2016~2020年中国猩红热发病的空间聚集性分析[J]. 南方医科大学学报, 2023, 43(4): 644-648. |
| [3] | 陈丽萍,黄载伟,肖冰. 利用数据库分析胃食管反流病的发病因素与临床特点[J]. 南方医科大学学报, 2016, 36(05): 710-. |
| [4] | 阎梦,华芮,周瑶,聂庆文,李红. 长方案控制性超促排卵过程中黄体生成素水平对多囊卵巢综合征患者IVF-ET结局的影响[J]. 南方医科大学学报, 2016, 36(03): 381-. |
| [5] | 程远雄,黄东兰,覃月秋,黄国华. 支气管扩张症212例临床特点分析[J]. 南方医科大学学报, 2011, 31(09): 1639-. |
| [6] | 黄聪武; 詹海勇; 李壁宏; 李国平; 郑宗茂; 吴灵飞;. 结肠黑变病17例临床分析[J]. 南方医科大学学报, 2006, 26(11): 1654-1655. |
| [7] | 邓忠莉;. 梅州地区不孕不育症355例临床分析[J]. 南方医科大学学报, 2006, 26(05): 714-714. |
| [8] | 方咏红, 张继平, 周少雄, 郑菊芬, 余永卫, 晏世刚, 范文奎, 陈月崧. 2型糖尿病患者血清血管性血友病因子、血小板活化因子水平与糖尿病肾病的关系[J]. 南方医科大学学报, 2005, 25(06): 729-731. |
| [9] | 周瑞丽, 刘国炳. 宫颈癌发病年龄与预后的关系(附93例分析)[J]. 南方医科大学学报, 2004, 24(09): 1066-1067. |
| [10] | 赵海金1, 蔡绍曦1, 邹飞2, 佟万成1, 万为人2. 应用Super SMART cDNA合成技术扩增哮喘嗜酸性粒细胞总RNA[J]. 南方医科大学学报, 2004, 24(09): 1037-1039. |
| [11] | 刘喜红, 王敏. 新生儿惊厥115例病因分析[J]. 南方医科大学学报, 2004, 24(07): 735-735. |
| 阅读次数 | ||||||
|
全文 |
|
|||||
|
摘要 |
|
|||||